BTC/HKD-3.46%
ETH/HKD-4.56%
LTC/HKD-4.37%
ADA/HKD-5.66%
SOL/HKD-6.22%
XRP/HKD-5.93%與 V2 相比,Uniswap V3 做市需要更精細的調整和更高頻率的干預。這也意味著通過參數調整,Uniswap V3 可以打造更復雜的做市策略。
Uniswap V3 創新性地引入自定義的價格范圍內的聚集流動性,以及多費用等級,以便于做市商采用更復雜的策略來主動管理流動性,并獲取更高的資本效率。但同時,做市商也會面臨更多的風險類型。本文將討論多種影響流動性提供策略的要素,如(1)交易對的波動率對價格范圍選擇的影響; (2)周期性流動性重置的頻率和成本; (3)不及時的流動性重置對收益的影響;(4)無常損失(IL)的對沖策略。
通過量化分析和簡化模擬,本文將給出參考性意見,以便于做市商指定自己的最優做市策略。
5 月 5 日,Uniswap V3 部署至以太坊主網。截止撰寫本文之時(2021 年 5 月 7 日北京時間 1240),其總鎖倉價值(TVL)達到 3.6759 億美元, 24 小時交易額為 2.2669 億美元,與 V2 ( TVL 791 億美元 , 24 小時交易額 113 億美元)相比,不在一個量級。但交易額 / 總鎖倉比率要相對更高。
Uniswap v3 的集中流動性帶來了更出色的資本效率,但如果管理不善也承載了新型風險。這篇報告將指導讀者了解流動性提供者(LP)在確定其投資策略時應考慮的幾個重要因素。
這些因素主要包括:
幣價波動性
提供流動性的價格可選范圍
Gas 成本和流動性重新配置的頻率
本文還將通過一些簡單的模擬,來量化上述因素對費用、價格風險和無常損失的影響。
在 Uniswap V3 中,交易費用和價格區間是 LP 必須指定的參數,如以下用戶 UI 面板所示。

Fantom基金會CEO委托中國一家頂級律師事務所來處理Multichain事件:金色財經報道,Fantom基金會首席執行官Michael Kong委托中國一家頂級律師事務所來了解Multichain發生了什么。Kong援引與其他Multichain在中國員工的對話表示,他相信還有幾名員工被捕。
一位名叫Marcel的前員工表示,他知道Multichain中五名已被捕的中國開發者的名字。Marcel還引用了與工作人員的對話,但拒絕透露他們的姓名,理由是擔心這些人的安全。該員工稱:我與一些尚未被捕的團隊成員進行了交談。他們非常緊張,而這五名被捕者都是 Multichain員工,他們實際上是主要的開發人員。[2023/7/22 15:51:42]
Figure 1 Liquidity Position UI panel
LP 須謹慎選擇交易費用。如果沒有相應交易費用的交易池,那么它將創建一個新的交易池,此操作會消耗大量 Gas (50 gwei,約合 1000 美元)。
本文的其余部分將集中討論如何優化這兩個參數,以實現 LP 費用收益最大化,同時降低代幣價格風險和無常損失。
資金池中的貨幣對的幣價波動為何如此重要?
由于流動資金僅在指定區間內活躍,并賺取交易費,因此,如果交易價格保持在該區間內,將使交易者的收益最大化。對于波動較大的貨幣對,交易者需要指定更大的范圍。 但是假設資本量相等情況下,當交易者擴大價格指定區間時,區間內的資金密度將被稀釋,從而導致分配給交易者的交易費用的比例降低。 因此,需要在價格跨度和集中度之間取得一定的平衡,而這取決于貨幣對的波動性。
此處講討論兩種波動:
預期波動率,該波動率決定了要指定的價格范圍
市場上實際發生的、已實現的波動率,這決定了分配給交易者的交易費
假設:
俄羅斯金融委員會負責人:頂級交易所已經準備好推出國際加密貨幣支付:金色財經報道,Bitcoin Archive 在社交媒體上稱,俄羅斯金融委員會負責人表示,頂級交易所已經準備好推出國際加密貨幣支付。[2022/9/28 22:37:29]
假設一個一天內交易者個人預期的波動水平,要確保在 90% 的時間(置信水平)中,假設價格序列符合正態分布,價格將會在設置的范圍內。本文僅考慮隨機變化,不考慮價格上升趨勢。

隨著時間變化,實際實現的波動性可能會更大或更小,導致發生的總交易額中在指定范圍內發生的比例各不相同。 在這里本文假設在所有不同的價格下,交易額都是相同的。

流動性密度定義如下:

其中 ?x 和 ?y 是投入流動性的 ABC 和 USDT 代幣的數量。 特別值得注意的是,這種流動性不是以美元為單位。
由于還有其他 LP 處于同一區間內,交易者可以賺取的交易費只是該區間內發生總交易的一部分所產生的費用,具體取決于交易者的流動性權重。

本文使用以下配置參數:

Paradigm 聘請 Brex 的頂級律師擔任其首席法律官:金色財經報道,加密投資公司 Paradigm 聘請了加密和金融科技法律資深人士 Katie Biber 作為其首席法律官。Biber 曾被信用卡初創公司 Brex 的 Paradigm 聘用,此前曾擔任 Mitt Romney 2012 年總統競選活動的總法律顧問,后者現在擔任猶他州的美國初級參議員。(theblockcrypto)[2022/6/7 4:06:41]
Figure 2 Figure 2 Configuration Parameters
假設實現的波動率保持在同一水平,對應設置的價格區間不同分別可以賺取以下費用:

Figure 3 Earned Fees With Different Price Ranges
如果將收取的費用與預期波動率作對比:

Figure 4 Earned Fees With Different Relative Price Range Width
則可觀察到這樣一種趨勢:當預期波動率高于實際波動率時,指定的價格區間將不必要地變寬,從而導致收取的費用減少、資本效率降低。
根據市場情況,交易價格可能遲早會超出交易者所設定的流動性區間。在此,可以使用各種策略來重新配置流動性區間:選擇等待價格恢復到范圍之內,或者在價格到達該范圍時立即更改區間邊界,甚至在即使價格沒有偏離區間時更積主動地重新配置頭寸,。
為了分析在重新配置流動性區間時 Gas 成本的影響,本文使用一種簡單的策略:一旦價格達到任一邊界,就重新配置頭寸。 流動資金重置操作分兩步進行:
PocketNetwork與頂級Defi協議共同參加DeversifiDefi英雄聯盟競賽:2月24日消息,PocketNetwork與Defi協議共同參加DeversifiDefi英雄聯盟競賽。據悉,PocketNetwork是一個Web3RPC基礎設施中間件協議,通過遍布全球的3萬多個節點,為運行于Ethereum,Polygon,Solana,Avalanche以及Concord等37條區塊鏈上的Web3應用提供豐富的區塊鏈帶寬,近日與Sushiswap、Ampleforth和其他多個DeFi協議一起參加了DeversiFi的DeFi英雄聯盟競賽。
由第二層DeFi協議DeversiFi主辦的英雄聯盟競賽將于3月的第一周開始,每周一場,持續8周,獎金總額為4萬美元。參賽隊伍由一名核心團隊成員和其他社區成員組成。“(Cryptonewsbtc)[2022/2/24 10:13:21]
刪除舊頭寸
添加新頭寸
每個步驟需要花費 350k Gas。因此花費的成本為 350000 * 2 * 40 * 10?8 = 0. 028 ETH ,大約需要 100 美元。 (消耗的 Gas 成本會有所不同,具體取決于這是否是第一個鑄幣池,以及許多其他因素。)
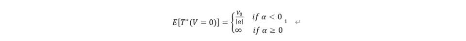
假設 ABC / USDT 交易對的價格序列遵循算術布朗運動:

必須在此處添加趨勢因子(而不是在下面部分中僅考慮隨機變化),因為如果沒有單方面的趨勢因子,則首次實現時間的期望將不受限制(取而代之的是無限大)。
在算術布朗運動中,假設平移(趨勢)常數為 1.5%,與該貨幣對的日收益率相等。 可以根據以下等式獲得給定價格范圍的平均首次實現時間:

火幣李林:項目方申請火幣上幣時,披露紅杉資本等頂級VC投資信息,將加速上幣審核流程:火幣創始人李林剛在朋友圈申明:從昨天開始,突然被很多朋友問到交易所上幣申請會不會針對紅杉資本有特別的政策。感覺有點突然,現申明如下,1.雖然火幣是紅杉資本投資的企業,但火幣不能保證所有紅杉資本投資的項目都會在火幣list。公平公正對待所有的項目,是交易所的基本立場。2.投資人和股東背景確實是項目上幣審核的一個指標,對于像紅杉等這種全球頂級的vc投資的項目,在交易所上幣審核時會得到加分。3.項目方在申請火幣上幣時,最好也重點披露一下是否接受過類似紅杉這種頂級vc的投資,我們會直接聯系vc做一些基礎的盡調,提升上幣審核效率,加速上幣審核流程。[2018/5/8]
要計算頭寸重置的成本,我們用這個公式:


Figure 5 Profit With Different Relative Range Width Considered Relocation Cost
繪制帶有成本扣除的曲線(紅色)和費用收入曲線(藍色):

Figure 6 Profit With Different Relative Range Width Considered Relocation Cost
當價格區間更寬時,則不需要頻繁地進行調整。另一方面,較窄的價格區間得到更多的交易費用收入,但重置的成本也會更高。
在之前的 V2 版本中,不需要對流動性頭寸進行主動管理,因此對散戶而言,通過 Uniswap UI 以較低的頻率進行手動操作非常方便。 但 V3 中如果交易者的流動性頭寸沒有定期調整,則不會為交易者帶來理想的收益率。
在上一章節中本文使用了一旦價格突破區間的任一邊界即觸發的重置策略。 那么,如果未及時調整頭寸,交易者的收益將受到多大程度的影響?
在上面的章節中,當頭寸與當前交易價格接近時,第一天拿到了預期中的交易費用收入。 以 1 天作為單位進行計算,但也可以使用集成將其轉換為連續時間模型。
從第二天開始,如果之前未進行任何重置,則隨著時間的推移,總體波動性將增加。

因此在第 2 天,在開始時指定區間內的交易額將減少,從而導致與第 1 天相比所賺取的費用減少。
計算一下第二天的交易費用預期收入,與第二天的實際收益率之間的對比,以及第一天預期收入與實際收入的對比,發現實際收入的下滑幅度:

Figure 7 Yield Drops When Relocation Delayed with Different Relative Range Width
可以觀察到,當價格區間更窄時,它受延遲重置的影響更大。 頭寸重置延遲 1 天會導致交易者的收益下降多達 20%?30%。
因此,本文建議使用算法來監視和控制交易者在 V3 上的流動性頭寸,以避免頭寸調整的延遲,特別是對于那些設定狹窄區間以更有效地利用資金的人而言。
任何自動做市商(AMM)中都存在無常損失,但在 V3 中,由于資本集中在較小區間內,無常損失的影響被放大。 在下面章節中,本文根據交易價格的變化(以 USDT 或 ABC 為單位計價),嘗試對無常損失建模。參數配置如下:

Figure 8 Configuration Parameters
當 ABC 價格上漲時,資金池中的 ABC 逐漸轉換為 USDT,直到交易者的頭寸中不再有 ABC 為止。 這種情況下交易者實際上是在做多 ABC,為了對沖該風險,交易者可以從一開始就賣空 1 ABC。 這樣整個投資組合將是(1)池中的頭寸+ (2) 1 ABC 的做空對沖

Figure 9 Impermanent Loss When Price Changes Using USDT as Unit Currency
對這一投資組合而言,當價格回歸初始價格時價值將最大化。如果價格突破邊界,可能會有約 2.5% 的無常損失。

Figure 10 Impermanent Loss When Price Changes Using USDT as Unit Currency
當 ABC 價格下降時,機槍池中的 USDT 會逐漸轉換為 ABC,直到交易者的頭寸中沒有 USDT 為止。 這種情況下交易者實際上就是做多 USDT,為了對沖該敞口,交易者可以從一開始就做多 1 ABC。 這樣整個投資組合將是(1)機槍池中的頭寸+(2) 1 ABC 的做多對沖

Figure 11 Impermanent Loss When Price Changes Using ABC as Unit Currency

Figure 12 Impermanent Loss When Price Changes Using ABC as Unit Currency
與 V2 相比,Uniswap V3 做市需要更精細的調整和更高頻率的干預。 另一方面,這意味著通過參數調整,可以打造更復雜的策略來獲得超過其他 LP 的競爭優勢。

Figure 13 Influential Factors for V3 Market Making
通過上面的實驗,可知要在 V3 中維持有效的做市策略,至少需要注意以下幾個方面:
根據貨幣對的價格波動性以及其他 LP 在該價格區間內的頭寸,選擇合適的價格范圍以投入流動性
考慮到消耗的運行 Gas 成本,定期管理頭寸重置并設置適當的頻率
當價格超出交易者的價格區間時做出快速反應,最好借助自動算法來代替手動操作
如果交易者要在漲跌兩端平衡頭寸,請使用對沖處理無常損失。 由于流動性集中,V3 的無常損失比 V2 嚴重得多。 如果所設置的價格區間狹窄,這一點就顯得尤為重要。
參考文獻:
First Hitting Time and Expected Discount Factor. (n.d.).
Overview: Uniswap. Uniswap Unicorn. (n.d.).
Uniswap Interface. (n.d.).
附錄:

Figure 14 Gas Cost Table
撰文:Ricky Li、Siddharth Lalwani 與 Hongxu Yan編譯:Perry Wang
Tags:IGUFIGUNIABCigup幣發行總量FIGHT幣unisat錢包批量創建Bitcoin Cash ABC
摘 要:“如果既不了解敵人,又不了解自己,你肯定會在每場戰斗中被打敗” 孫子兵法。“知己知彼,百戰不殆,你永遠不會被打敗”。當你不了解敵人而了解自己時,你的勝敗機會是相等的.
1900/1/1 0:00:00頭條 ▌數據:2021年第一季度加密公司融資25億美元,創歷史新高2021年第一季度加密貨幣公司融資25億美元,創歷史新高。該數據幾乎是2018年第二季度融資總額的兩倍.
1900/1/1 0:00:00SBF 接受了彭博社直播采訪,就加密貨幣與傳統金融的區別與金融時代變化發表了自己的見解。律動 BlockBeats 消息,5 月 11 日,FTX 創始人 SBF 接受了彭博社直播采訪,就加密貨.
1900/1/1 0:00:00Thorchain是什么,它是如何讓不同區塊鏈上的原始資產可以進行交換?本文將回答這些問題。DEX交易量已達數十億美元的規模,正獲得了越來越多的關注,Uniswap上超過10億美元的日交易量已經.
1900/1/1 0:00:00今天大家的心情都一樣,區塊鏈和價值幣的信仰是不是都搖搖欲墜了?哈哈哈,這就是真實的世界啊朋友們,新人們總是喜歡老家伙們不喜歡的東西,然后把它炒的老高老高的,就是不接盤老家伙們手上的東西.
1900/1/1 0:00:001.金色觀察 | BTC真的有那么大的能源消耗嗎?實現可持續發展的未來是一個關乎人類存亡的重要話題.
1900/1/1 0:00:00