BTC/HKD-0.13%
ETH/HKD-0.09%
LTC/HKD-0.19%
ADA/HKD-0.12%
SOL/HKD+0.15%
XRP/HKD-0.46%近日,歐易OKEx的統一賬戶功能正式上線。這一劃時代的技術產品,在提高資金效率,增加投資收益方面有著質的飛躍,受到市場的關注和好評。然而,因為統一賬戶屬于引領行業發展的前沿技術,一些用戶發出“統一賬戶意味著統一爆倉”擔憂,實際情況確實如此嗎?讓我們回到問題本身---“統一賬戶意味著統一爆倉”這句追求音韻和諧的話至少表達了用戶的兩點擔憂:1)統一賬戶模式下的爆倉會不會波及用戶賬戶中的全部資產?2)在統一賬戶的復雜規則下,用戶的持倉有沒有更高的爆倉風險?1現在讓我們看第一個問題,想要解答該問題,就涉及一個核心的關鍵---統一賬戶的定位:統一賬戶是“全倉模式”的深化,而不是“單一賬戶”。一些用戶害怕“統一賬戶下的統一爆倉”,主要原因在于將統一賬戶視為“單一賬戶”,即統一賬戶是將全部資產均置于一個賬戶下。此時賬戶中的資產將“成為”所開衍生品倉位的賬戶余額,一旦出現爆倉,即意味著損失全部資產。實際情況是,大家可以將“統一賬戶”理解為“資金賬戶+交易賬戶”。其中,資金賬戶主要用于提幣、充幣和參與金融業務;統一賬戶則是大家理解的“狹義”統一賬戶交易模式。因此,統一賬戶與經典賬戶在日常資金與交易資金一級分離的設計理念上是一致的;統一賬戶僅僅是在交易資金的二級分離設計上實現了刪減合并。在經典賬戶中,“交割合約”,“永續合約”,“期權合約”這些交易賬戶中的資產余額都面臨爆倉歸零風險,但“資金賬戶”中的資金不受波及;同樣地,在統一賬戶模式下,“資金賬戶”中的資產并不受影響,僅僅是“統一賬戶”中的資產有爆倉歸零風險。無論是經典賬戶還是統一賬戶,當市場風險過大時,用戶都會將大部分資產放置在“資金賬戶”下,只會留少量保證金放置在“交易賬戶”中,此時衍生品合約的爆倉風險并不會波及“資金賬戶”。因此在交易資金的爆倉損失方面,統一賬戶與經典賬戶并沒有本質區別。
葡萄牙將加密資產收益視為資本收益,征收28%的統一稅率:4月5日消息,TaxDAO今天發布《2023年葡萄牙國家預算涉加密內容分析》。文章表示,直到2022年底,葡萄牙一直是歐洲為數不多的加密貨幣交易(例如,資本收益)無需繳納個人所得稅的國家之一。然而,從2023年起,加密資產稅框架的最新狀況將發生重大變化。
就個人所得稅而言,加密資產的定義被表述為 “任何可以使用分布式賬本技術或類似技術以電子方式轉讓或存儲的價值或權利的數字表示”,不包括單一加密資產和非同質化加密資產。
處置加密資產的收益應被視為資本收益,標準的28%統一稅率將適用于處置上述資產所產生的資本利得和損失的正余額,除非這些資產持有超過365天,在這種情況下,將可獲得豁免(但不適用于歸類為證券的加密資產)。[2023/4/5 13:46:47]

幣安統一賬戶更新:將對負余額收取利息:據官方公告,幣安將于北京時間2月27日16:00起,對U本位合約帳戶中持有負USDT余額的用戶收取新的利息,利息費用將根據市場平均利率每日收取。其中只有U本位合約帳戶中的USDT余額低于一定的閾值時,才會收取該利息,當前每個U本位合約帳戶收取利息的閾值為-20萬USDT。
幣安表示強烈建議請用戶調整交易策略和U本位合約帳戶余額,以避免任何超出預期的費用。[2023/2/6 11:49:52]
當然,進一步地,依然有用戶擔心以下兩點:就交易賬戶中的資金而言,在經典賬戶模式下,交易賬戶中某一幣種合約的爆倉并不會波及另一幣種,例如BTC合約爆倉,并不會影響交易賬戶中的USDT資產,統一賬戶不能做到這一點。就交易賬戶中的資金而言,在經典賬戶模式下,不同交易賬戶中的資金相互獨立,例如永續合約賬戶中的資金不會受交割合約賬戶中的合約爆倉波及;統一賬戶不能做到這一點;實際上,上述兩點擔憂依然是多余的。針對第一個問題,對于歐易OKEx的普通用戶,由于資產門檻限制,主要使用統一賬戶的單幣種保證金模式;此時不同幣種之間的合約不共用保證金,某幣種合約的爆倉也不會波及另一幣種資產。案例:用戶共有1000USDT和1BTC,其中900USDT放置在資金賬戶,100USDT和1BTC,在單幣種保證金模式下,用100USDT買入BTCUSDT永續合約,那么在未來即便100USDT全部爆倉,也不會波及交易賬戶中的1BTC和資金賬戶中的900USDT。針對第二個問題,讓我們回到統一賬戶的本質---統一賬戶交易的本質是各衍生品的全倉模式。例如,在經典賬戶模式下,我們可以實現“交割合約”或“永續合約”賬戶中的全倉模式;而統一賬戶的本質是實現了“幣幣交易、永續合約、交割合約、期權”各類衍生品合約的全倉模式。因此,統一賬戶的“全倉模式”已經覆蓋了經典賬戶的全倉模式。此時,我們可以理解為:
動態 | 牛津大學研究人員提議將所有虛擬貨幣統一視為證券來監管:據Coinpost 2月4日消息,牛津大學法學院一組研究人員發表一份研究論文稱,歐盟同樣需要監管所有加密貨幣,并得出結論認為,根據歐盟金融市場法規,它們應被視為可交易證券。[2020/2/4]

由于統一賬戶與經典賬戶一樣,設置了逐倉模式。在逐倉模式下,倉位保證金以及盈虧都獨立進行核算,與賬戶中的其他資金隔離,在爆倉時也不會波及賬戶中的其他資產。

聲音 | 律師姜彥杰:目前區塊鏈面臨的一個問題是缺少統一的區塊鏈技術可信標準:據民主與法制時報6月10日消息,近日,北京策略律師事務所合伙人姜彥杰接受采訪時表示,區塊鏈的“存”證能力在技術上有較高的可信保障,但證據從“取”到“存”再到“信”是個整體,且鏈上存證的內容是電子數據,其也不能夠直接證實其客觀真實,因為鏈的兩端如上鏈前的取證和下鏈后的驗信標準都是證據可信不可或缺的一環,不是區塊鏈“存”證一環即可具備司法證明力。在法律規制上,到目前為止相關部門還沒有統一的區塊鏈技術可信標準和存證業務規范以及相應證據證明力審查操作指南。這也是區塊鏈發展面臨的一個重大問題。[2019/6/10]
因此,我們可以通過逐倉設置,將統一賬戶的單幣種保證金模式轉化為經典賬戶交易模式,如下表所示:
聲音 | Roger Royse:目前美國還未統一監管加密貨幣和區塊鏈:當地時間9月9日 ,在CoinTime聯合主辦的“2018聚焦區塊鏈展訊全球行硅谷站峰會”上,Royse律師事務所的Roger Royse在“加密貨幣監管”時提到,美國監管環境的特點有:對區塊鏈技術和加密貨幣,美國的監管環境來看,目前還沒有一致性的監管政策; CFTC在2017年允許加密貨幣衍生品公開交易;對于美國以外投資者,如果將加密貨幣視為現金,需要獲得聯邦政府牌照,如果視其為證券,加密貨幣特別是ICO,需要符合各州的股票發行控制法;SEC目前還沒有清晰的監管政策出臺。[2018/9/10]

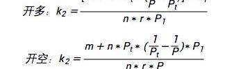
此時,統一賬戶單幣種保證金模式等價為經典賬戶,不同合約的倉位爆倉將不會影響其他合約倉位情況。從以上可以看出,統一賬戶由于采用日常資金與交易資金一級分離的設計理念,并且還設有逐倉模式。因此,正確應用逐倉模式設置后,單幣種保證金模式將等價于經典賬戶模式,爆倉會不會波及用戶賬戶中的全部資產,在普通用戶的交易體驗上與經典賬戶也沒有太大區別。2對于統一賬戶,用戶的擔心的另一個問題是統一賬戶的規則這么復雜,會不會使倉位發生提前爆倉的風險。這里,我們可以用嚴密的數學公式推導來分析。以交易幣本位永續合約為例,這里我們設交易賬戶中的余額為m,倉位價值為n,為合約標記價格,P為合約開倉價格,為現貨價格,r為維持保證金率,求此時的保證金率k,在不考慮爆倉手續費的情況下。在經典賬戶模式下:

在統一賬戶單幣種保證金模式下

在統一賬戶跨幣種保證金模式下

在經典賬戶模式下,當保證金率<維持保證金率時發生強平;在統一賬戶模式下,當保證金率<100%時發生強平然而,從上我們可以看出

此時,統一賬戶模式的強平規則可轉化為。因此,統一賬戶模式并不會導致提前爆倉。同樣地,在USDT保證金合約模式下,我們依然可以證明該結論成立。
Tags:USDUSDTSDT區塊鏈XUSD Stable在哪可以賺usdt幣Compound USDT區塊鏈dapp開發費多少錢
最近這幾天,加密資產連續跳水,牛市搖搖欲墜。對于投資者來說,眼下最關心的問題是“牛還在嗎”。合約帝數據顯示,4月18日,比特幣暴跌超1萬美元,全網合約爆倉金額超69億美元,爆倉賬戶達50萬個之多.
1900/1/1 0:00:00據Bitcoinwin數字貨幣平臺行情顯示,比特幣在昨日午后放量上攻突破62000一線壓力位,直沖至目前最高的64500,目前行情運行在62700附近.
1900/1/1 0:00:00大家好,今天是Gate.io創立8周年的日子,在比特幣多次突破6萬美金、首家加密資產交易所Coinbase登陸納斯達克、全球多個國家的央行數字貨幣蓄勢待發之際.
1900/1/1 0:00:00播報數據由Greeks.live和Skew.com提供。本月即將有7.5萬張比特幣期權進入交割,37萬張以太坊期權進入交割.
1900/1/1 0:00:00今年以來,加密金融主流化的趨勢難擋,機構紛紛入局比特幣,全球和規劃步伐加快,Coinbase直接上市,傳統金融與加密世界的聯系日益緊密,新的交易者不斷涌入.
1900/1/1 0:00:00BTC行情分析 昨夜最大的新聞可能就是Coinbase上市的預披露,定價250美金,估值665美金。比之前定價的330多美金,少了接近80美金,也就是25%左右的折價.
1900/1/1 0:00:00