BTC/HKD-1.27%
ETH/HKD-2.41%
LTC/HKD-1.59%
ADA/HKD-0.58%
SOL/HKD-1.38%
XRP/HKD-2.06%風險平價模型
在傳統市場里,風險平價模型(Risk Parity)試圖通過將資金分配到更廣泛的類別,如股票、政府債券、信貸相關證券和通脹對沖(包括實物資產、商品、房地產和通脹保值債券)等,來均衡風險,同時通過金融杠桿作用實現收益最大化。據Bridgewater Associates的首席投資官Bob Prince的說法,傳統風險平價投資組合的定義參數是不相關的資產、低股票風險和被動管理。
關于投資,有一條廣為人知的投資理念是不要把所有的雞蛋放在一個籃子里。那么,如果有人建議你把90%以上的雞蛋放在一個籃子里,你會認為這樣就足夠分散投資了嗎?可是很多傳統的60%的股票和40%的債券的平衡投資組合的人都是這樣做的,盡管60/40的投資組合并不能提供真正的風險分散。
F2Pool創始人神魚提示X2Y2 NFT掛單挖礦存在風險:2月18日消息,F2Pool創始人神魚在推特表示,目前市場火熱的X2Y2 NFT掛單挖礦存在以下風險:1. 用戶NFT授權的是 0xf849de01b080adc3a814fabe1e2087475cf2e354 ERC721Delegate 合約,該合約有RBAC的權限管理;2. 交易Exchange合約 0x74312363e45dcaba76c59ec49a7aa8a65a67eed3 擁有通過ERC721Delegate合約轉移用戶token的權限;3. 交易Exchange合約 是可升級合約,升級權限(proxyAdmin的owner)是官方單地址;理論存在官方通過升級合約,然后轉走用戶NFT的可能。[2022/2/18 10:00:58]

動態 | 瑞士監管機構建議銀行將加密風險覆蓋率提高800%:據bitcoinnews報道,瑞士金融市場監管局(FINMA)將與加密貨幣相關的資產標記為極不穩定,并建議金融機構將其加密資產的風險覆蓋率提高800%。FINMA還要求,對任何金融機構的加密貨幣交易總額額外設定4%的上限。這意味著任何組織只能以名義貨幣總額的4%進行交易。FINMA還建議,當金融機構達到這一限度時,應要求它們進行報告。[2018/11/7]
來源:
https://en.wikipedia.org/wiki/Risk_parity
為什么會這樣呢,因為“蛋”(風險)的大小是不一樣的。股票的風險是債券的9倍左右。假設股票和債券收益率有每年的標準差分別為15%和5%。那么,從方差來看,股票的風險是債券的9倍。假設我們將6個股票 "蛋 "和4個債券 "蛋 "分別放在兩個籃子里。股票的風險對總體風險的貢獻是93%。
聲音 | 蔡維德:細化規則形成區塊鏈產業監管體制 對區塊鏈應用的風險進行防范:據新華網消息,近日,國家“千人計劃”教授蔡維德提出實施區塊鏈“產業沙盒計劃”,即通過細化規則,形成切實可行的區塊鏈產業監管體制,對區塊鏈產業應用中存在的風險進行有效防范、識別、預警和處置應對。[2018/9/14]
雖然我們的雞蛋比喻可能看起來很簡單,但它與實際情況相差不遠。例如,從1983年到2004年,羅素1000指數的超額收益率年化波動率為15.1%,雷曼綜合債券指數的年化波動率為4.6%,而兩者之間的相關性為0.2。由此可見,60/40的投資組合在資本配置上可能看起來是平衡的,但從風險配置的角度來看,它是高度集中的。

動態 | 人民日報:江蘇金融辦互金風險專項整治拓展到虛擬貨幣:據人民日報報道,江蘇省金融辦全面梳理省內各類金融風險,向13個設區市政府分別發函,提示包括特定風險點在內的風險,督促逐一建檔、逐項處置。持續深入開展互聯網金融風險專項整治,整治領域拓展到虛擬貨幣、 ICO、校園貸、現金貸等,對摸底排查階段確定的重點對象進行現場檢查和處置。[2018/8/22]
模型的計算
事實上風險平價的實際推導過程蘊含著不同資產的長期表現與復雜的數學求解,它基于一個長期觀察的假設,即大類資產的Sharpe Ratio (單位風險的收益) 是接近一致的。如股票、債券、黃金及其他大宗商品1971-2009年的Sharpe Ratio都在0.3左右。Bitcoin的5年滾動Sharpe ratio為1.25——從這個角度來看看未來數字貨幣興許將迎來更低的收益或更高的風險。

來源:Messari
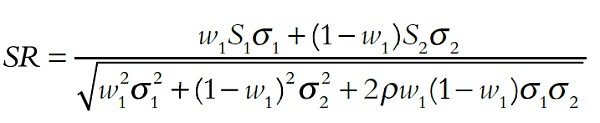
風險平價的本質實際是假設各類資產的Sharpe Ratio長期趨于一致去尋找投資組合的長期Sharpe Ratio的最大化。我們不妨看一個最簡單的例子,假設兩個資產的Sharpe Ratio分別是S1與S2,他們的波動率分別是σ1與σ2,他們的相關性為ρ。兩種資產的風險貢獻分別為RC1與RC2,投資策略組合的Sharpe Ratio為SR。



來源:Newbloc 資產組合的Sharpe Ratio及其導數
通過對資產組合的Sharpe Ratio(藍色),及其導數(紅色)分析和運算可知在當前的假設下兩種資產的資金配比分別為以下比例時產生的Sharpe Ratio是最大的。

在數字貨幣市場中的實踐
Newbloc, 基于AI的量化交易系統,通過機器學習,挖掘市場特征,通過歷史和實時數據訓練交易決策引擎構建了包括因子、套利、對沖、趨勢四大類幾十種子策略。基于Newbloc資管團隊在傳統金融市場中的風險平價模型的研究,我們將其運用在復合類策略的構建與優化之中,旨在獲得最大的單位風險收益。以下是子策略自2019年1月1日以來的表現。可以看到從單策略長期的表現來看最好的Sharpe Ratio是2.61, 最好的最大回撤為16%。通過平價模型優化的策略組合年化為132%,最大回撤可以控制在10%以內。

來源:Newbloc

文 / New Bloc CIO 馬潔
金色財經 區塊鏈5月14日訊 全球最大的線上論壇Reddit已經對兩個基于以太坊區塊鏈的通證$MOONS 和$BRICKS啟動了Beta測試,旨在為貢獻內容的用戶提供獎勵.
1900/1/1 0:00:00奧地利奧合國際銀行(RBI:Raiffeisen Bank International AG)正在與企業分布式賬本技術(DLT)提供商Billon合作進行國家數字貨幣的試點工作.
1900/1/1 0:00:00在很多政府會議與文件上,都提到鼓勵發展5G、大數據、人工智能、區塊鏈、邊緣計算等新技術。其中5G、AI、區塊鏈這些詞語我們都很熟悉,但邊緣計算是什么?它經常和區塊鏈出現在一起,它們之間又怎么樣的.
1900/1/1 0:00:005月27日,英特爾與螞蟻區塊鏈宣布戰略合作,并完成遠程鏈上簽約。全球芯片巨頭加入螞蟻區塊鏈生態,最強算力和最強區塊鏈技術首次深度融合.
1900/1/1 0:00:005月13日,由福建省區塊鏈協會、中國物流與采購聯會區塊鏈分會與清華大學互聯網產業研究院、區塊鏈和分布式記賬委員會、上海區塊鏈技術協會、重慶市區塊鏈應用創新產業聯盟、浙江省區塊鏈技術應用協會、四川.
1900/1/1 0:00:005月25日,海南省工信廳印發了《海南省工業和信息化廳關于印發海南省加快區塊鏈產業發展若干政策措施的通知》,通知附件內容如下:為加快推動區塊鏈技術和產業創新發展.
1900/1/1 0:00:00