BTC/HKD-2.03%
ETH/HKD-3.54%
LTC/HKD-3.27%
ADA/HKD-3.37%
SOL/HKD-3.56%
XRP/HKD-3.31%最近從多個群的投票結果可以得知:
絕大部分人是虧了錢的。
以雷神的群投票為例:

到目前為止的投票結果是這樣的。

首先我對于這個結果感到非常困惑。
26號大跌到現在居然虧損的人展多數。
要知道,從26號到現在可是漲了不少。
甚至還有不少人虧損了30%。

無論怎么看,26號都是一個低點。對于比特幣而言。
在前天,我還寫了一篇文章。
我認為當時做空的人都是一些鐵頭。

做空比特幣!對抗全世界?所有的空頭都是比特幣上漲路上的燃料!
甚至發文在半個小時內。
又發了一篇微文。
我覺得這個價格以后很難再會有了。

截止到目前寫文的時候。
比特幣的價格已經到了19200美元。

如果那天沒有猶豫的購買比特幣,
到現在為止已經有9%的收益了。
我實在找不到任何的理由,不去吹捧比特幣。

而且,只要是你準備購買加密貨幣。
無論購買何種加密貨幣。
mfers創始人:16999個eos NFT持有者可參與新項目的免費鑄造:2月16日消息,NFT項目mfers創始人sartoshi發推稱,在EST時間2023年1月27日下午1:50快照時所有16999個eos(End Of Sartoshi)NFT的持有者將有資格進行20k pfp pixel art project(2萬個PFP像素藝術項目)的免費鑄造,該項目將于2月16日公布。
此前1月消息,sartoshi表示,其此前退圈作品End Of Sartoshi NFT持有者自2月開始將有資格免費鑄造Life Death & Cryptoart策展加密藝術收藏品系列,每件藝術作品限量供應300枚。[2023/2/16 12:10:21]
最后都很難超過比特幣的漲幅。

我在12月4號的文章中,做了這樣一個模擬表。
價值2000元的空投!江卓爾說牛市在明年見頂,比特幣或10萬美元,key能上三分嗎?
現在差不多快10天了,我們來看一下。
12月4日:

我截取了現在的實時數據。
然后做入的對比表。
最后發現,在選取的幾個加密貨幣。
比特幣表現最佳。

我突然間知道為什么大多數人都是虧損的。
因為絕大多數人都不想購買比特幣。
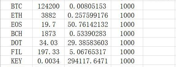
我們嘗試一下上期的1000塊錢,看看現在多少。

大多數,都還有900多塊。
但是PINK就太顯眼了。740塊。虧損了26%。
你也不能說什么。
就像你持有一些礦幣一樣。
跌起來會很快的。
英雄不論成敗。
NFT項目Strange Turtles In District99登上紐約 Billboard廣告牌:據官方消息,近日,NFT項目Strange Turtles In District99現身紐約時代廣場的 Billboard 廣告牌,在顯示屏上展示了他們獨特的NFT。
據悉,99district NFT.DAO是致力于打造NFT全產業鏈,業內結合NFT,DAO,Defi與NFT再創造的項目。社區成員可利用NFT質押挖礦,NFT衍生項目等為手中的NFT持續增值。[2021/11/8 6:38:27]
一次的數據有可能是說明不了什么。
我們再做第2期數據。
相當于定投,這樣就會發現:
哪些東西是真的好。
哪些東西是真的坑。

算法:
1000/13日價格+4日的購買量
下次估計就回到圣誕節左右再來統計。
如果有什么想加上去的測試代幣,歡迎在評論區留言。
現在來說一下,我選取這幾個代幣的原因。
比特幣。加密貨幣之王。

以太坊。智能合約先驅。

柚子。區塊鏈3.0代表。

比特現金。最成功的比特幣分叉。

波卡。最強而有力的跨鏈。

FIL。宇宙文件系統的代幣。
BTC突破39900美元:火幣全球站數據顯示,BTC短線上漲,突破39900美元,最高漲至39998.98美元。現報39908.77美元,日內漲幅達到3.49%,行情波動較大,請做好風險控制。[2021/7/27 1:16:53]

KEY。國內最牛加密社區的平臺幣。

PINK。幣乎最大的散戶礦池。

你可以選取其他的代幣,但是必須得是龍頭。
上一期的測試中,其他的龍頭都沒有跑過比特幣。
為什么比特幣有如此魅力?
我只想說。
沒有比特幣。就沒有現在的加密代幣。
你甚至想一下。
連BM都把總籌的錢買14萬比特幣。

更何況是其他人呢?
我可以再舉一個例子。
李啟威在清倉的萊特幣后,就買入了比特幣。
他當時說了一句令我印象深刻的話。
比特幣永遠是真正的比特幣。

你想一下,他們能夠創出這些杰出的代幣。
他們的腦殼會笨嗎?
如果他們不笨的話。
為什么連他們都要大舉的買入比特幣?
這是一個顯而易見的事實。
很多人忽略掉了這個事實。
別人十幾億都不怕虧損掉,
我們很多人還沒有那么多錢。
卻一直擔心買比特幣會虧多少錢。

FIL突破190美元關口 日內漲幅為4.99%:火幣全球站數據顯示,FIL短線上漲,突破190美元關口,現報190.5115美元,日內漲幅達到4.99%,行情波動較大,請做好風險控制。[2021/4/17 20:29:50]
當我們在猶豫徘徊的時候。
很多時候就與機會擦肩而過。
就像當我第1次聽說比特幣的。
我很明顯的記得他是1000多美元。
因為當時報道的是比特幣,
剛剛超過了1盎司黃金的價格,
當時好像是1000多美元一盎司黃金。

現在大家都知道了。
已經快2萬美元了。
巴比特的創始人。

長鋏在知乎上有一個很精彩的回答。

大三的學生,手頭有6000元的錢,想要做些小投資賺點兒錢,有什么好建議么?
但是這是一件很難的事情。
你很難相信一個陌生人。
如果你手上只有6000塊錢。
如果是我的話。
我會建議他把1%的資產。
也就是60元購買比特幣。
這樣的建議可行性大的多。
現在我仍然是建議你們。
只用自己資產的1%去購買比特幣。
這一部分資產缺失,不會對你生活造成任何影響

重要的是。你能夠做到嗎?
比如,每個月的工資是3000元。
拿出30元來購買比特幣。
這應該是每個人都能夠做到的。
而且每個月都能做到。
火幣大學方軍:當下的區塊鏈是1994年的互聯網,區塊鏈應用才剛剛開始:3月24日21:00,在火幣大學直播大課上,火幣大學顧問合伙人方軍以“金融風暴下重新認識區塊鏈與區塊鏈創業機遇”為主題進行直播,方軍表示,早期互聯網經歷了爆發式的增長,在過去25年經歷了一個長期的發展,包括經歷的2次泡沫,但是即便是在泡沫中也誕生現在國內排名非常靠前的公司。當下的區塊鏈是第二代的互聯網,區塊鏈的應用才剛剛開始。如果當年錯過了互聯網的機會,那么現在一定要把握住區塊鏈的機會。詳情點擊原文鏈接。[2020/3/24]
小目標的好處在于它很容易能夠完成。
也許現在效果不佳。
但是10年后呢?20年后呢?
對于現在的人而言。
30元也許就是一餐飯的錢。
更多的時候是補夠一餐飯錢。
你就當是多吃了一點吧,
留一個希望到10年或者20年后。
不要在短時間內想它的價格。
當你把時間拉長的時候,足夠穿過兩個牛熊以上。

我們很多人都無法把握住比特幣。
因為那部分錢對他太重要了。
如果一開始就是拿無關緊要的一筆資產投的呢?

時間能夠把美酒醞釀的更加香甜。
比特幣就是這樣的美酒。
女兒紅尚且要18年。
更何況是比特幣這樣的美酒!

所以很多人要問我。
如何扭轉虧損?
購買比特幣現貨,存到錢包中。
如果是小額購買。推薦查看這篇文章。
0.01元購買比特幣!EOS成為小額比特幣購買的天堂!如何無虧損套娃?

這篇文章里面寫的是利用EOS購買小額比特幣。PBTC。
另外還在有篇文章中寫到過。
比特幣對于所有的加密貨幣,都是上漲的。
很少會出現意外。
只要你把K線拉長,幾乎毫無意外。
無論你購買什么加密貨幣。
最后都不如購買比特幣。
如果你持有比特幣的時間夠長的話。
以下數據來自于火幣。
以太坊你得看全部K線。
ETH/BTC

柚子:
EOS/BTC

比特現金:
BCH/BTC:

瑞波:
XRP/BTC:

萊特幣:
LTC/BTC:

波卡:
DOT/BTC:

艾達:
ADA/BTC:

恒星幣:
XLM/BTC:

門羅幣:
XMR/BTC:

新經幣:
XEM/BTC:

波場:
TRX/BTC:

小蟻幣:
NEO/BTC:

達世幣:
DASH/BTC:

唯鏈:
VET/BTC:

波幣:
WAVES/BTC:

埃歐塔:
IOTA/BTC:

YFI/BTC:

以太經典:
ETC/BTC:

FIL/BTC:

嫩模幣:
OMG/BTC:

SNX/BTC:

狗狗幣:
DOGE/BTC:

本體:
ONT/BTC:

DCR/BTC:

現在你能告訴我。
為什么你會虧錢嗎?
有什么加密貨幣對標比特幣上漲的?在總K線上?
如果真的能找到一個比比特幣更加靠譜的加密貨幣。
我想很多人推薦的就不是比特幣了。
但現實是真的找不出來。
比特幣永遠是比特幣。
結束語:
只賺認知范圍內的錢。
如果認知不夠,那就努力去學習。
Tags:比特幣BTC買比特幣比特幣中國官網聯系方式40億比特幣能提現嗎比特幣最新價格行情走勢BTCs是不是黃了btc錢包官網btc短線交易騙局買比特幣被派出所約談買比特幣的平臺買比特幣賺了50
大家好,歡迎來到由小魚干開講的《吃雞新鮮事速報》,雙十一馬上就要到了,前段時間開始的返場活動,估計大家也陸陸續續沒有去關注結果了,畢竟靠前的幾位幾乎已經是碾壓.
1900/1/1 0:00:00新京報貝殼財經訊12月17日17:40左右,比特幣漲破23000美元關口,該消息也登上微博實時上升熱點榜.
1900/1/1 0:00:00西班牙作為君主立憲制的國家,全國劃分了17個自治區,而在主體疆域之外更是有休達和梅利利亞兩塊飛地,只不過因為其主要疆域內以17個自治區為中心.
1900/1/1 0:00:00對比特幣從9825開始的3浪做一個最終浪型分析:方案1:13525開始3-5,則當前3浪已經結束,開始4浪回調; 安全團隊:MEV bot以太坊上地址遭到惡意利用.
1900/1/1 0:00:00全文約2400字,配地圖12張,閱讀時間據個人喜好而定,請妥善安排時間。信陽市之前做過一版,自覺不滿意,故重做。下列圖中黑色虛線內為當代信陽市行政區劃范圍.
1900/1/1 0:00:002020年下半年,幣圈的動蕩接踵而至,老牌勁旅的出事為熱鬧的行情走勢帶來了一絲猶豫和陰霾。殊不知,在用戶眼中平分秋色的交易平臺在真正實力上也存在著不小的差距,怎樣讓一艘萬噸航母又快又好的運行,這.
1900/1/1 0:00:00