BTC/HKD-1.66%
ETH/HKD-6.04%
LTC/HKD-1.67%
ADA/HKD-2.24%
SOL/HKD-3.19%
XRP/HKD-2.27%金融市場的反身性告訴我們,去人少的地方,往往有更多的機會。加密期權,是一扇少有人走的窄門,卻一路金光燦燦。
從單一走向多元,從有序走向無序,從線性走向混沌,加密交易生態日趨復雜,應對加密世界的混沌市場,線性的交易工具已經捉襟見肘。
期權市場最早出現于18世紀后期的歐洲,但是由于各種制度不健全等原因,期權交易的發展受到抑制。在19世紀20年代早期,看跌期權/看漲期權自營商都是職業期權交易者,他們在交易過程中,不會連續提出報價,而是當價格明顯有利時才提出報價。而這樣的期權交易不具有普遍性,不便于轉讓,市場的流動性受到了很大限制。
經過不斷的迭代進化,傳統期權交易逐漸被金融市場認可,以多元姿態進入機構和資管方的視野,并通過風險對沖等策略為這類人群帶來了可觀收益。
加密行業是金融市場衍變過程中的一波巨浪,但是期權交易在其中并未貢獻幾朵浪花。然而與傳統期權相比,加密期權在去中心化、交易時間、波動率等方面都具有絕對的優勢。隨著Web3時代的挺進,加密行業終將形成更加多元化且成熟的金融產業,加密期權交易也將有力推動巨浪的進程。
而我們,要乘上滑板,抓住機會,沖浪。
本文將闡述以下觀點方向
加密期權的發展軌跡
期權的基礎與操作
期權的定價模型與因素
期權的投資策略
鏈上期權市場的分化與發展
加密期權市場的總結與展望
加密期權的發展軌跡
17世紀的荷蘭,郁金香狂熱,市場供不應求,許多批發商通過提前向種植者支付定額的保證金,獲得一份在郁金香上市時按照約定好的價格從種植者手里購買郁金香的權利。這份權利就是期權,保證金就是期權金。期權,是一種選擇權,它是在期貨的基礎上產生的一種金融工具,給予買方在特定場景下以特定條件購買特定資產的權利,同樣也給予賣方在特定場景下以特定條件出售特定資產的權利。期權進入二級交易市場之后便有了不同的故事,具備了流通性的期權衍生品也有了更加豐富的功能。
1973年,芝加哥期權交易所(CBOE)成立,期權交易正式進入統一化、標準化和規范化的全面發展階段,在美國期權市場的帶動下,世界各國相繼開始籌備自己的期權交易市場。隨著美國、英國、日本、加拿大、新加坡、荷蘭、德國、澳大利亞以及中國香港等地相繼建立起期權交易市場,期權交易也從最初股票一個品種擴展到了目前包括大宗商品、金融證券、外匯以及黃金白銀在內的近100個品種。即使在宏觀走弱的當下,傳統期權合約交易量依然創下歷史新高,去年總成交達303.9億張,同比增長52%。
加密期權
2016年,期權被引入加密行業。加密期權產品的發展與其他加密衍生品不同,期權工具較高的認知門檻在期權市場和大眾投資者之間豎起了一座高墻,除了主流的資管機構之外,很少有散戶交易群體進行期權相關交易,總交易量也一直趑趄不前。

常年以來,Deribit的期權持倉占據了整個期權市場85%以上的份額,即使是CME、OKX等其他主流衍生品交易平臺的期權交易量也是微乎其微。
在鏈上期權發展迅速的當下,中心化期權平臺依舊是當前加密期權市場的主角,畢竟中心化期權產品在當前的市場下相對于鏈上期權的優勢太過明顯,比如中心化產品交互性更好,交易流動性更充足等等,但其內在不透明,操作邏輯及資產安全等缺陷也隔絕了一批潛在用戶,這些問題正催生著鏈上期權的發展與成熟。

2020年底,DeFi的戰火燒到了衍生品領域,期權的鏈上結構化產品讓復雜的交易步驟有了一鍵操作的可能,簡易化的產品設計使得加密期權市場出現了相對顯著的流量聚集效應,2020年之后,加密期權的交易平臺次第開花,市場交易量逐步上升。

鏈上期權市場本就是加密期權在去中心化方向的新嘗試,在從鏈上保險市場中獨立后,在底層平臺和結構化產品方向做出了諸多創新,在加密交易市場日益成熟、整體波動率趨于下降的背景下,不少平臺都在探索更能面向用戶的期權產品以滿足市場需求,結構化產品風靡一時,根據Defillama的數據,截至2022年8月,鏈上期權產品已經有39個之多,結構化產品占比近80%。
鏈上期權協議Antimatter已集成TradingView:據官方信息,鏈上期權協議Antimatter已集成TradingView,以在平臺上提供更好的交易體驗。用戶可以通過TradingView界面在AntiMatter上交易期權。
據悉,鏈上期權協議AntiMatter旨在降低當前期權和衍生產品的復雜性,以幫助經驗不足的用戶執行其多頭和空頭策略,本質上為期權交易創建Uniswap。TradingView是針對交易者和投資者的基于云的圖表和社交網絡軟件。[2021/5/26 22:46:54]
期權的基礎與操作
期權是面向小眾的交易工具,加密期權更是大眾投資的一扇窄門,在展開行業的研究和探討之前,我們先來了解一些基礎與操作的關鍵詞。
美式期權與歐式期權
1、美式期權
美式期權在到期日前的任何時候都可以行權;
美式期權的最后一個交易日是到期月的第三個星期五,但有一些例外,例如季度和周期權;
美式期權的結算價為到期日的官方收盤價;除非持有者另有說明,否則期權即使是1美分,也會自動行使。結算價為第三個周五收盤前的常規收盤價,不包括盤后交易。
2、歐式期權
歐式期權只能在到期日行權;
歐式期權提前一天停止交易,即到期月份第三個周四收盤;
在歐式期權中,結算價格要在當日開盤幾小時后才會公布,而且通常與前一晚的收盤價有所不同,這使得持有隔夜頭寸存在一定風險。
看跌與看漲期權
1、看漲期權
指期權買方通過向賣方支付一定數額保證金后,即擁有了期權合約的有效期內按事先約定價格向期權賣方買入一定數量的合約中規定的特定標的物的權利,但不承擔必須買進的義務。而期權賣方則有義務在有效期內,應買方要求按照規定價格賣出特定標的物。

2、看跌期權
指期權買方通過向賣方支付一定數額保證金后,即擁有了期權合約的有效期內按事先約定價格向期權賣方賣出一定數量的合約中規定的特定標的物的權利,但不承擔必須賣出的義務。而期權賣方則有義務在有效期內,應買方要求按照規定價格買入特定標的物。
最大痛點
最痛點位是指當期權到期行權時,使買方盈利最小虧損最大而賣方虧損最小盈利最大的價位。“痛”主要針對買方而言,但由于最痛點位會在有效期內隨著持倉量和持倉所處的行權位置的變化所改變,當鄰近行權日時,最痛點位是以所有持有者作為一個整體來計算的,與單個交易者的頭寸沒有關系。一般而言,交易所是賣出期權的那一方且擁有巨量的資金,他們是天然的莊家。當行權日期到來時,他們的籌碼足以讓他們通過拉盤砸盤的方式,將價格在最大痛點周圍浮動。
因此,賣方的莊家有非常大的動力,在行權日期將標的資產的價格拉到最大痛點附近,這樣在行權時它們可以獲得最大的盈利。
行權價
期權的一個關鍵要素是確認標的價格,被稱為行權價格或執行價格。行權價格是預定的價格,當執行這個期權時,可以在這個價格買入,或賣出一個標的期貨合約。
實值、虛值與平值

實值期權是指購買期權的行權價格低于標的資產的市場價格,或者出售期權的行權價格高于標的資產的市場價格的狀態。實值期權的權利金成本較高,杠桿率不及平值、虛值期權,實值期權有內在價值和時間價值,時間對買方侵害相對而言較低而對標的波動的同步率更大。只要標的有利波動,實值期權便能有收益產出。
虛值期權正好相反,是指購買期權的行權價格高于標的資產的市場價格,或者出售期權的行權價格低于標的資產的市場價格的狀態。虛值期權權利金成本便宜,杠桿率大,且只有時間價值,行權價遠離標的價格,只有當標的發生有利方向大幅波動時,才有利潤產出,波動越大,盈利越大。如果只是小幅上漲,由于時間價值流失的關系便容易出現即使方向對了還不賺錢甚至虧錢的情況,越是深度虛值對應行情波動要求越大,虛值期權到期歸零的風險也大一些。
平值期權是指標的物價格等于期權執行價格。平值期權時間價值最大,交易通常也最活躍,此時,期權向實值還是虛值轉化,方向難以確定,轉為實值則買方盈利,轉為虛值則賣方盈利,故投機性最強,具有最大的時間價值。
鏈上期權協議Opium將啟動兩個流動性挖礦計劃并增加代幣獎勵:鏈上期權協議Opium宣布兩個流動性挖礦計劃將于UTC時間3月1日14:00(北京時間22:00)開始,并增加代幣分發量。擴大1inch流動性挖礦計劃,獎勵提高至四倍,達到每周5萬Opium。
為了增加Opium治理代幣的穩定性,將支持SushiSwap流動性挖礦。SushiSwap上的流動性挖礦計劃實驗將直接進行(不用DROPIUM),用戶需要做的是將LP代幣放入耕作合約中。作為一個實驗,Opium希望至少在未來4周內支持每周2.5萬Opium代幣分發。[2021/3/1 18:04:53]
期權定價模型與因素
期權金的定價是期權產品的最核心因素,它代表著成本與收益。面對非標準化的產品,期權的定價模型必須具備通用性才能滿足市場流通的需要,目前市場常用的期權定價模型可以分為二叉樹和BSM模型。
二叉樹
一般是兩種定價方式,第一個是構造無風險組合,也就是賣出一份期權買入delta份的資產。二叉樹模式可用于歐式期權定價和美式期權定價。二叉樹定價是在風險中性的條件下,將期權價格的連續時間分割成多個小段時間,再利用每個離散節點形成的價格樹狀路徑反向求解該期權的價值。
假設標的的資產為某一代幣,且在考察時間期內,代幣價格每次向上或向下的波動概率和幅度不變。那么在時間A內,代幣價格將會上升到uS或下降到dS
模型符號假設如下:
S:期權標的資產的當前價格
X:期權執行價格
T:期權的到期時間
St:在T時刻標的資產的價格
σ:期權標的資產價格波動的標準差
r:在T時刻到期的投資的無風險利率
c:看漲期權的價格
p:看跌期權的價格
例如:建立一個無風險組合,買Δ數量的標的物和一份看跌期權,這種情況下期初和行權價的價格應保持一致。得出以下公式:

如期權是美式期權,因為美式期權可以提前行權,需計算在每個節點的期權價格和直接行權的價值進行對比,如果提前行權的價格高于期權價格,則提前行權,故期權定價公式為:
看漲期權

看跌期權

BSM模型
B-S期權定價模型,即Black-Scholes-Merton期權定價模型(Black-Scholes-MertonOptionPricingModel),翻譯為布萊克—斯克爾斯期權定價模型。
1、BSM期權定價方法
期權價格及標的資產價格都受同一種不確定因素影響,假設的價格遵循隨機過程,其中為隨機波動,通過構造一個包含恰當的期權頭寸和標的資產頭寸的資產組合,可以消除這個不確定因素,標的資產頭寸與衍生資產頭寸的盈虧可以相互抵消,這樣構造的資產組合為無風險的資產組合,在不存在無風險套利的情況下,該資產組合收益率應該等于無風險利率。
2、假設條件
資產價格行為服從對數正態概率分布模式;預期收益率與價格波動率為常數
在期權有效期內,無風險利率和金融資產收益變量是恒定的
市場無摩擦,即不存在稅收和交易成本,所有資產完全可分割
金融資產在期權有效期內無紅利及其它所得
不存在無風險套利機會
期權權利交易是持續的
投資者能夠以無風險利率借貸
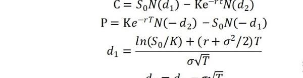
3、BSM期權基本定價公式
在以上假設的基礎上,BSM給出以下公式:C0=S0N(d1)–Xe-rTN(d2)Whered1=/σ√TAndd2=d1–σ√T

在公式中,期權價值決定于五個變量:標的資產的到期價格S,期權執行價格X,無風險利率r,期權到期時間T,標的資產的價格的標準差σ。BSM期權定價公式只有在利率r為常數時才正確;并且每個希臘字母都代表一個因子,Theta(Θ),Delta(Δ),Gamma(Γ)以及Vega。
鏈上期權協議FinNexus即將在以太坊和Wanchain主網上線新版挖礦機制與新UX/UI:鏈上期權協議FinNexus將于1月25日20點在以太坊和Wanchain主網上線新版挖礦機制與其新UX/UI。新版挖礦機制將支持穩定幣USDC、USDT、FNX和WAN作為抵押資產進入不同的期權流動池。本次挖礦機制增強了FNX池和USDC/USDT池的聯動,鼓勵用戶在提供雙池流動性或者鎖定FNX池后獲得更大的回報率。[2021/1/25 13:26:01]
4、BSM模型優勢和缺點
模型中包含的變量均是可以觀察或者估計的;模型體現的創新思想是期權價格與標的資產的期望收益無關,即風險中性定價。期權價格不依賴于投資者的風險偏好,簡化了期權的定價。
期權定價的核心影響因素
1、標的物現貨價格

由圖可以看出,標的物價格越高,看漲期權的價格越高;標的物價格愈低,看漲期權的價格愈低,他們之間是正向關系。例如,持有者用100美元買入看漲期權標的物。那么到期時標的物價格越高越好,超過100美元的部分都是獲利。因此,標的物價格越高,看漲期權的履約幾率越高;價格也越高。標的物價格越低,看漲期權的履約幾率越低,價格也越低。
標的物價格越低,看跌期權的價格越高;標的物價格越高,看跌期權的價格越低,他們互相之間是反向關系。
2、行權價格

行權價格決定其期權的核心因素,因行權價越低,看漲期權的價格越高;行權價越高,看漲期權的價格越低。例如,標的物目前的價格保持100美元不動,行權價越低,看漲期權的履約幾率越高;行權價越高,看漲期權的履約幾率越低。
行權價越高,看跌期權的價格越高;行權價越低,看跌期權的價格越低。
3、期權時間期限
時間同樣是期權中一種重要的因素,決定著在此周期之間,整體的價格的決策。

到期周期時間越久,看漲期權的價格越高。例如,當前的某代幣價值2000美元,而無風險利率為0,無論多久后代幣價格的期望值都是2000美元。對于看漲期權的買方2000美元以下將不會行使兌付,虧損固定為買入期權的資金;超過2000美元將收益無限放大。因此到期日越長,漲到3000美元的概率增加,收益也就增加。雖然跌至1000美元的概率和漲到3000美元的概率一樣,但是跌更多不會增加虧損。
距離到期日越久,看跌期權的價格越高。道理和看漲期權一樣,對買方而言,時間越長,跌多多賺,漲多卻不多賠。
4、隱含波動率

隱含波動率越大,看漲期權的價格就越高。因為波動率越大,大漲和大跌的概率越高;大漲是無上限的,大跌買方也不會去兌付。
5、無風險利率?
無風險利率越大,看漲期權的價格越高;無風險利率越小,看漲期權的價格越低。

看漲期權是未來買進標的物的權利,所以當無風險利率越高,標的物的折現值越小,對買方有利,對賣方不利。因此,無風險利率越高,看漲期權的價格越高。相反,當無風險利率越低,標的物的折現值越大,對買方不利,對賣方有利。因此,無風險利率越低,看漲期權的價格越低。
無風險利率越大,看跌期權的價格越低;無風險利率越小,看跌期權的價格越高。看跌期權是未來賣出標的物的權利,所以當無風險利率越高,標的物的折現值越小,對買方不利,對賣方有利。因此,無風險利率越高,看跌期權的價格越低。
相反,當無風險利率越低,標的物的折現值越大,對買方有利,對賣方不利。因此,無風險利率越低,看跌期權的價格越高。
期權投資策略
期權的非線性體現在兩個方面:一是到期日盈虧曲線呈現非線性;二是期權合約價格與期權標的資產之間的實時波動關系呈現非線性。根據加密期權的非線性特征,加密期權的操作策略也相對多元,最常用的使用場景是保護性看跌期權和拋補性看漲期權。
鏈上期權協議Opyn上線基于ETH、UNI和WETH的5款期權產品:鏈上期權協議Opyn宣布上線5款新的期權產品,分別是12月4日到期行權價460美元的WETH看跌期權,12月25日到期行權價500美元的ETH看漲期權,12月25日到期行權價640美元的ETH看漲期權,12月25日到期行權價3.5美元的UNI看跌期權和12月25日到期行權價4美元的UNI看漲期權。[2020/11/20 21:27:48]
保護性看跌期權是現貨加看跌期權組合,即投資者在投資一定數量的加密貨幣時,擔心未來的某個日期,該種加密貨幣價格下跌,所以投資者選擇在投資加密貨幣時,同時買入該種加密貨幣的看跌期權,該種投資策略從本質上來說,是將投資者的最低凈收入和最低凈損益鎖定。
拋補性看漲期權,是指投資者本預期希望行權日到來之際,加密貨幣的價格下跌,使得交易對手不會行權,投資者就可以賺取交易對手購買期權合約的權利金。投資者一般處于謹慎的投資心理,往往投資加密貨幣時,同時出售該種加密貨幣的看漲期權。因此,拋補性看漲期權主要是縮小投資者未來的收益的不確定性,將投資者的最高凈收入和最高凈損益鎖定,這也是機構投資者常用的投資策略。
期權的具體操作策略還有很多,下面是我們對期權的8種常用執行策略的歸類。

每個策略所對應的標的資產價格和盈虧之間的關系如下圖所示:
1、買入看漲期權

買入看漲期權,是對后市行情非常樂觀,該策略投入資金量較小,因為最大虧損有限,最大利潤無限,上漲帶來了非對稱的收益預期,所以看漲期權提供了一定程度的金融杠桿。到期時可以獲得的利潤為:幣價-執行價格-期權金。最大利潤取決于標的資產的潛在價格漲幅,從理論上來講是無限的。看漲期權的價值通常等于它的內在價值,潛在虧損雖然是有限的,但最高可以損失100%的期權金。
2、賣出看漲期權

賣出看漲期權適用于后市小幅度下跌的場景,一般是在標的物的重要阻力位置,因為到期時間相對較短,所以要選流動性高、距離到期日較近的平值、虛值期權合約。
它是一種純粹方向性的看空投機策略,為從標的下跌中獲利。當價格上漲時,賣出看漲期權與賣出期貨虧損相同,但權利金可以彌補部分損失,在盤整或價格波動不大時,仍可以獲得收益。
3、買入看跌期權

買入看跌期權適合預期大跌的行情,最大虧損有限,僅限權利金,但是收益可以相當大。當標的資產下跌時可獲得保證金收益,買入看跌期權可以作為賣空代幣的替代,同時可以防止因幣價上漲導致的損失擴大。這么操作潛在風險較小,但可以給投資者提供較大的杠桿。一般來講,期權“價外”的程度越高,策略的看空性就越強,因為標的代幣價格需要下跌更大幅度才能讓期權達到盈虧平衡點。
4、賣出看跌期權

賣出看跌期權目的是想以低于當前市價買入標的資產,如果期權到期變成虛值、價值歸零,則可保有出售期權所獲得的期權金。這樣最大利潤有限,而最大虧損無限。
如果期權被執行,對手方將有權以期權執行價格買入相應的標的資產。標的下跌則賣出標的與買入標的的損失相同,權利金彌補一部分虧損;標的上漲則收到權利金。如果標的資產價格上漲,看跌期權到期歸零,這就是投資者所能獲得的最大利潤,即賣出看跌期權的期權費。如果標的資產跌至期權執行價格下方,投資者將會被要求執行期權,買入相應數量標的。標的資產的凈買入價格將是期權的執行價格減去所獲得的期權費。這一價格有可能會低于當前幣價。這一策略潛在的虧損類似于持有同等數量的標的。從理論上來講,標的可以跌到零。如果執行期權導致凈買入價格高于當前市價,投資者將會立即產生浮虧。
除了基礎的四大策略之外,對于專業的交易者而言,期權工具可以無視牛熊,下面是更為復雜的操作策略。
鏈上期權協議Hegic因系統設計缺陷再次關閉:鏈上期權協議Hegic再次關閉,和上次代碼出現問題不同,此次錯誤是由于系統設計缺陷導致。此前消息,鏈上期權協議Hegic發布官方公告稱代碼中出現bug,無法為新創建期權合約解鎖過期期權合約中的流動性,呼吁用戶立即行使所有的活躍期權合約,Hegic 承諾提供 100%的退款,其中包括購買期權的權利金。[2020/5/21]

主要分為牛市看漲期權價差,牛市看跌期權價差,熊市看漲期權價差和熊市看跌期權價差,具體如下:
5、牛市看漲期權價差

在從溫和看漲到看漲的行情下,執行牛市看漲期權價差可以從標的股票價格的小幅上漲中獲利。如果投資者對幣價強烈看漲,那么直接買一份簡單的看漲期權通常可以獲得更大利潤。但是單獨買入和持有看漲期權的成本太高,若對于看漲市場的觀點不太確定,使用這種價差還可以降低風險。
看漲期權價差是雙重對沖策略,賣call權利金用來抵一部分買call的權利金。另一方面,買call也限制了賣call的金融風險。若被要求執行所賣出的看漲期權、以執行價格賣出相應數量的標的,那么這些標的可以通過執行較低執行價格的看漲期權以既定價格買入。
當幣價價格上漲,牛市看漲期權價差傾向于能夠獲利。這個價差可以通過一筆交易來完成,但總是會產生凈費用,因為較低執行價格的看漲期權總是比較高執行價格的看漲期權要貴。當標的資產價格跌破較低執行價格,這一價差通常會產生最大的虧損。
6、牛市看跌期權價差

牛市看跌期權價差可以降低強烈看漲的風險,幣價上漲,會產生凈費用,因為低價put總是比較高價put要貴,標的跌破低價put執行價,產生最大虧損。如果兩個期權都變成“價外”、價值歸零,損失所有權利金。標的高于高價put行權價,這樣兩個期權都會以“價內”方式到期,投資者可以執行買入的低價put,以低價買入標的,然后在高價put被執行時賣出標的。
7、熊市看漲期權價差

熊市看漲期權價差是一種雙重對沖策略,買入高價call的費用可以用賣出低價call的權利金抵消還有剩余。當標的價格低于低價call,投資者可以執行買入的低價call,以較高的執行價格賣出標的,然后在較低執行價格期權被執行時賣出標的。
當標的資產價格下跌,熊市看跌期權價差傾向于能夠獲利。因為低價call比高價call要貴,當標的資產價格超過較高執行價格,這一價差通常會產生最大的虧損。如果兩個期權都變成價外、價值歸零,那么投資者為這個價差所支付的凈費用將全部損失。這個價差的最大利潤通常發生在標的資產價格低于較低執行價格之時,這樣兩個期權都會以“價內”方式到期。投資者可以執行買入的看跌期權,以較高的執行價格賣出標的,然后在較低執行價格期權被執行時賣出標的。
8、熊市看跌期權價差

熊市看跌期權價差適用于后市小幅下跌的行情,它的好處在于降低買入看跌期權的權利金成本,買高價put要比賣低價看跌期權貴。如果投資者被要求執行低價看跌期權、以執行價格買入相應數量的標的,那么這些標的可以通過執行較高行權價的看跌期權以既定價格賣出。然后在較低執行價格期權被執行時買入標的。如果兩個期權都變成價外、價值歸零,那么投資者為這個價差所支付的凈費用將全部損失,這樣兩個期權都會以價內方式到期。
鏈上期權的分化與發展
加密市場整體規模較小,在Deribit取得突破并提供了首批散戶友好型加密期權產品之后,加密期權開始了其去中心化的鏈上探索。基于我們的研究,本文將鏈上期權產品分為底層平臺類產品和結構化產品兩類。底層平臺類產品是指自身具備期權平臺的所有交易功能,同時支持其他產品構建的平臺。而結構化產品是以底層平臺為基礎,利用基礎金融工具和金融衍生工具進行不同的組合得到的一類策略型創新產品。它提供了一鍵的便捷式操作流程,滿足了普遍性的用戶需求。

鏈上期權經過兩年的發展,已經在Ethereum,BSC,Avalanche,Solana,Arbitrum等11條鏈上上線了39個項目,當前TVL合計3.78億美金,其中結構化產品的數量和資金規模占據了絕對的優勢地位。
底層平臺OPYN與Hegic
1、OPYN
Opyn是基于凸性協議的去中心化期權協議,Opyn上主要有三個主體,一個期權的賣家,一個是期權的買家,還有就是期權的套利者。不同主體的目的不一樣,共同組成了一個期權市場,而這個期權市場的形成可以幫助DeFi用戶保護其資產價值。

Opyn允許用戶通過使用智能合約以未經許可的方式交易ETH和ERC20代幣的DeFi期權來賺取溢價或對沖風險。可以讓用戶輕松跟蹤和管理自己的多頭和空頭頭寸,及時反饋資產的收益情況,幫助用戶調整抵押品甚至是平倉。
賣家還可以創建點差和其他組合、原子交易、閃電貸鑄造oToken、分配操作員來創建永續工具等等——這是一個非常強大的期權平臺,允許DeFi中的用戶對沖DeFi風險或承擔不同加密貨幣的頭寸。
它還允許任何用戶創建期權代幣并執行在到期時以預定價格購買或出售某種資產的權利。
在DeFi中進行貸款、承銷等唯一有效的方法就是分擔風險并降低這些產品繁重的資本密集度。通過合并期權抵押品,Opyn開辟一條可行的途徑來降低資本要求,并且不需要100%的抵押品就可以期權擔保。
Opyn的目標是通過一個包容、公平和開放的金融系統賦予金融產品信任,借助Opyn,交易者可以通過期權合約創建和交易自己的保險產品。這些選項是完全鏈上且無需信任的,這使得傳統中心化服務無法構建的產品成為可能。使用Opyn任何用戶都可以免費為其DeFi資產購買保險,任何開發人員都可以自由地將期權或保險集成到他們的協議中。
2、Hegic
Hegic允許用戶購買ETH和WBTC的看跌期權和看漲期權,該協議不需要KYC,一個以太坊錢包就可以操作。

Hegic將所有的交易訂單放入兩個池中,一個用于BTC,一個用于ETH,每個礦池的所有交易者共同為該礦池編寫期權,無論買方的參數如何,即如果一個人成為HegicBTC池的寫入者,他和其他寫入者將共同交付行使的期權,包括看跌/看漲方向和期限。
所以Hegic的寫入者們都是盲目的,因為他們不知道下一分鐘可能會購買什么樣的期權,他們必須無條件地寫出來,這可能無法提供最好的報價,但這是一個有吸引力的設計,就像用于交易的AMM,它簡單而高效。

Hegic的期權寫入者實際上是波動性承受者,就像AMM中的流動性提供者一樣,他們可能會遭受暫時的損失。但如果交易量很大,賣方應該獲利,如果市場是有效的,那么在相當長的時間范圍內應該有相等數量的看跌期權和看漲期權。
結構化產品
1、Dopex
Dopex是一種去中心化期權協議,專注于取得流動性的最大化、期權賣方損失最小化、期權買方收益的最大化,并以被動方式完成所有這一切程序。

Dopex采用期權池的模式,讓用戶能以被動方式取得收益。通過使用期權池允許任何人被動地賺取收益并與協議交互最少的情況下向購買者出售期權。礦池參與者可以簡單地將基礎或報價資產存入礦池,資產將用作希望購買看漲期權和看跌期權用戶的流動性。在每個時期結束時參與者將能夠收集在池中持有的份額,其中包括為所有期權支付的與礦池規模相關的溢價,以及初始階段的DPX代幣獎勵,作為提供流動性的激勵。

通過使用期權池來最大限度地提高了流動性,并在所有流動性提供者之間分擔期權寫入的風險,而不必處理手動寫入期權所帶來的任何復雜性。Dopex使用Black-Scholes來確定期權價格,與其他協議不同,確保所有的期權都正確定價,通過代表來實現持有質押DPX的代表,他們被選為定期報價影響期權價格的乘數,以復制真實的供需以及公平定價為買賣雙方提供了公平的期權價格。最初,平臺代表是加密領域最大的5家衍生品交易公司。
協議的回扣代幣rDPX已發行,而回扣是根據期權賣方所產生的美元損失百分比計算的,相對于發生的損失,一定比例的rDPX被鑄造并分配給期權池參與者,與編寫裸期權相比,確保了更高的回報。
2、Lyra
Lyra是基于部署在Optimism之上的期權AMM協議,也是合成資產Synthetix生態中的項目之一。針對DeFi期權協議面臨的高無償、高風險和低流動性問題,通過主動管理風險來降低LP流動性提供者的風險,提高自動化做市商AMM的流動性。

用戶通過在平臺購買或賣出在特定時間的資產價格進行的一種行權,賣家通過將sUSD或者sETH抵押到平臺中,并設定特定時間段和其行權價格。其部分抵押僅對于賣出的看跌股權,如選擇部分抵押,將有被清算的風險,并且需存入最低數量的抵押品。買家通過平臺所掛出的期權訂單進行選擇認為合適的訂單支持行權金,在特定時間截止時,用戶可通過市場的資產價格來評定是否要進行行權,如行權需支付掛單所標出的價格購買ETH,如放棄則損失行權金。流動性提供者(LP)將sUSD存入特定資產的Lyra做市商保險庫(MMV)之一。該流動性用于為金庫指定的資產建立雙向期權市場。LP將流動性存入金庫,以賺取交易期權時支付的費用。其風險在于期權的做市風險和智能合約風險。

期權交易者,可以從流動性池購買期權,也可以向流動性池出售期權。交易者向LP支付費用,作為對其流動性的補償。
3、RibbonFinance
RibbonFinance是一種用于產生可持續收益的結構化產品協議。它結合了期權、期貨和固定收益,以改善投資組合的風險回報狀況。

它的第一個產品專注于通過自動化期權策略利用底層協議來提高收益,被稱為Strangle,Strangle是一種期權策略,本質是對標的資產波動性的押注,即在同一期限內以不同的執行價格同時買入價外看漲期權和看跌期權。
另外其Thetavaults是一組專注于資產收益率提升策略的結構化產品。允許用戶將ETH和WBTC存入Vault,以產生年收益率。ThetaVaults運行兩種期權策略來產生收益:
承保看漲期權——保險柜從資金承保看漲期權中寫入
看跌期權——Vault賣出看跌期權

用戶可以將支持的資產存入智能合約,它將自動開始運行特定的期權策略。Vault自動運行策略并將所有參與者的gas成本共同承擔化,使策略自動化且負擔得起。與Strangle策略不同,最大損失不設上限,相當于標的資產的購買價格減去所獲得的溢價。在選擇足夠接近市場價格的正確行權價,確保最大限度的溢價獲取以及期權到期的風險之間存在著一種平衡。
RibbonFinance是向DeFi期權產品邁出的一大步,它為用戶提供了為其資本產生額外收益的選擇。雖然其策略具有內在的復雜性,但他們的保險庫極大地增強了自動期權策略的用戶體驗,我們期待RibbonFinance未來推出的產品。
加密期權市場的總結與展望
自2016年加密資產期權正式出現以來,已經過去了近七年的時間。在這七年里,除了現貨,衍生品的規模也在不斷成長,加密衍生領域的期權也承接著趨勢的紅利蓬勃發展。
期權不僅結構復雜,而且定價和保證金條件要求也很高。相對專業的門檻隔絕了大部分的用戶,能參與其中的都是精英群體和機構用戶,這種現狀嚴重制約了其市場流動性。即便如此,在市場逐步成熟的背景下,越來越多的專業玩家正在涌入加密期權市場,交易量也越來越大,期權交易市場未來一定會繼續壯大,未來期權賽道的發展趨勢也愈加凸顯,一切正在生。
安全性要求更高:大量的資產不斷流進鏈上,DEFI產品的安全問題一直是頭等大事,將來要求只會更高。
產品結構化:只有結構化的期權產品才能面向大眾,更加便捷、更具易用性的結構化產品才能建立用戶的使用習慣,在趨勢創新的最前沿,也是結構化產品在引領著未來的方向。
流動性聚合:流動性也是目前期權項目的最大問題,很多產品因流動性匱乏而走向沒落,將交易深度不斷聚合,從而讓用戶可以隨意交易而增加流動性,這是必然。
可擴展性增強:目前的期權項目比較單一,無論是點對點還是點對池的解決方案,無論是訂單簿還是AMM的交易模型,他們都是特定需求下的產物,交易的可擴展會隨著市場的成熟而不斷增強。
可組合性提升:綜合性的交易平臺一定會出現,可組合性的接口和可組合性的能力將成為每一個垂直應用的必備要素,對于一個小眾產品更是如此。
加密期權發展的軌跡是從底層平臺起步,在底層平臺做足了底層基礎設施的鋪墊之后,結構化的產品應運而生,結構化產品相對集中的解決方案已經越來越成為散戶市場接觸加密期權的入口。
我們相信在未來的加密市場,在結構化產品的引領之下,流動性將會不斷的聚合,可擴展性也會逐漸增強,隨著產品的成熟、用戶的聚集、資金的流入和產品生態體系的日益完善,可組合性的應用也會逐漸走到市場的前端,那時候這扇加密衍生世界的窄門將會通向一條無比寬闊的道路!
金色周刊是金色財經推出的一檔每周區塊鏈行業總結欄目,內容涵蓋一周重點新聞、行情與合約數據、礦業信息、項目動態、技術進展等行業動態。本文是項目周刊,帶您一覽本周主流項目以及明星項目的進展.
1900/1/1 0:00:00作者:Yuanshan@iNFTnews.com蘋果新品發布會已在北京時間8日凌晨結束,其中iPhone14系列是備受關注的新產品之一.
1900/1/1 0:00:00深入探討創建DAO單元的挑戰、它們對DAO構成的風險,以及潛在的解決方案或緩解因素。原文標題:《DAOrayaki|DAO內子單元取得成功的9個挑戰》 撰文:RnDAO 編譯:Xinyang 創.
1900/1/1 0:00:00DeFi數據 1.DeFi代幣總市值:453.1億美元 DeFi總市值數據來源:coingecko2.過去24小時去中心化交易所的交易量38.
1900/1/1 0:00:00解析Web3的元素、用例以及它對互聯網未來的意義。原文標題:《什么是Web3?去中心化的互聯網如何顛覆數字經濟》撰文:CBInsight 編譯:白澤研究院 想象一個由用戶擁有而不是幾家大型科技公.
1900/1/1 0:00:00今日幣安發布公告稱,已于北京時間9月8日17:00正式推出靈魂綁定代幣BAB,BAB將作為已完成KYC用戶的身份證明,用戶可以在?BNBChain上鑄造BAB代幣作為身份憑證.
1900/1/1 0:00:00