BTC/HKD-0.31%
ETH/HKD-1.24%
LTC/HKD-1.28%
ADA/HKD-2.08%
SOL/HKD-1.49%
XRP/HKD-1.05%Solana生態項目逐步增加,借貸、DEX以及衍生品等協議開始豐富起來。Mercurial也是Solana生態上的項目之一。它提供穩定資產兌換服務,這聽上去跟目前以太坊生態中的Curve似乎差別不大。不過,作為后來者,它有更多的機會去學習之前DeFi協議的一些優點。這可以從它的設計中看出來,它在用戶最為關注的交易滑點、LP收益、資產利用率等方面都做了一定的迭代優化。
Mercurial從穩定幣AMM資金池開始切入,為Solana生態提供USDC、USDT、wUSDC、wUSDT等穩定幣的兌換服務,隨著對用戶需求的把握和生態的發展,Solana也計劃為更多穩定資產提供流動性服務。
那么,Mercurial有哪些迭代值得關注?我們先從其整體框架入手。
理解Mercurial的框架
我們可以看看Mercurial的框架圖:

可以看到核心有幾個:Vault、Yield、動態費用、DAO治理。
Solana Labs宣布加密智能手機Saga將于5月8日公開發售,預訂設備已開始發貨:金色財經報道,Solana Labs宣布其加密智能手機Saga將于5月8日公開發售,目前預訂設備已開始發貨,這款手機配備512 GB 存儲空間,兩個后置攝像頭鏡頭,6.67 英寸 OLED 顯示屏和指紋掃描儀,其中有具有用于加密集成的 Solana Mobile Stack (SMS)和用于私鑰存儲的自定義“種子庫”。通過提供專用的加密智能手機,Solana將滿足對移動設備上安全、用戶友好的加密體驗的需求,售價或定為1000美元。(coindesk)[2023/4/14 14:03:10]
Mercurial有動態的做市資金庫。它的資金庫為穩定資產兌換提供自動做市,LP可以將其穩定資產存入到Mercurial的資金庫中,然后為穩定資產兌換提供流動性,同時通過種地或挖礦等獲得外部協議的收益,如參與借貸、閃電貸以及收益聚合等。此外,LP的費用收益也不是固定的,而是動態變化的,這也是它與眾不同的一個設計。
具體分解來看,有幾個方面是理解Mercurial的關鍵:
Mercurial在降低滑點上的設計
基于Solana的游戲StarAtlas在Epic Games Store上推出試玩版演示:9月30日消息,即將推出的基于Solana的游戲Star Atlas通過Epic Games Store為NFT所有者發布一個試玩版的演示。此外,開發者ATMTA還發布一個工具包,讓其他工作室可以將基于Unreal Engine 5的游戲連接到Solana區塊鏈。據悉,Star Atlas目前只向擁有NFT的人提供訪問權限:他們可以通過擁有一艘船并加入Star Atlas的游戲內派系來獲得訪問密鑰。[2022/9/30 6:04:20]
我們知道,目前AMM上進行較大額度的兌換,往往會帶來較高的滑點。即便是穩定資產的兌換也會如此。
Mercurial跟通常的X*Y=Z的AMM做市模式不同,它的主要不同如下圖:

紅線是傳統AMM做市模式下的滑點變化,藍線是Mercurial的做市模式下的滑點變化。這看上去滑點很低。它是怎么設計的?
Circle將于2023年上半年將Euro Coin引入Solana:金色財經報道,支付公司Circle正在將Euro Coin引入Solana鏈,并在2023年上半年將其跨鏈協議擴展到Solana。Circle在6月推出Euro Coin,作為其穩定幣USDC的歐洲版本,它目前在以太坊區塊鏈上運行。
Circle在一份聲明中說,當歐元幣在Solana上線時,FTX將增加對它的支持。Circle表示,其他去中心化金融協議也表示有興趣在穩定幣推出時支持。(the block)[2022/11/6 12:23:14]
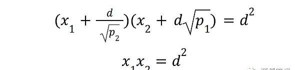
主要有兩個方面,一是在提供流動性代幣對資產時,Mercurial并沒有要求提供流動性的代幣對一定為1:1配置,可以靈活配置。二是,Mercurial利用了放大化的價格曲線,將流動性集中到所需范圍內。如果用戶的交易超出交易率范圍,會獲得較少流動性的支持。
可以通過Mercurial提出的兩個公式來簡單說明:
有兩個代幣組成代幣對提供流動性,假設代幣為X1,X2;其兌換率波動范圍為p1,p2,在常數乘積做市模式下,其公式表達為:
去中心化交易所Saber在Solana上推出Huobi USD(HUSD)交易池:據官方消息,基于Solana的去中心化交易所Saber宣布在Solana上推出首個Huobi USD(HUSD)交易池。用戶現在可以在Saber平臺上使用HUSD與任何其他支持的比特幣錨定幣進行交易。流動性提供者通過向HUSD-USDC池存款來獲得收益。昨日,Saber宣布在Solana上推出首個Huobi BTC(HBTC)交易池。[2021/7/18 1:00:37]

Mercurial在這個基礎上,增加了一些放大系數a,那么得出如下的公式:
在這個公式中,系數a如果是無限大,那么,其所有的流動性都集中在價格范圍p1-p2;如果系數a無限接近于0,那么這個公式就相當于常數乘積的做市模式。
通過上述的設計,Mercurial試圖降低用戶兌換的滑點。這些的設計思路,我們在balancer和dodo上也看到過類似的思考,不過Mercurial目前主要聚焦于穩定資產的兌換為主。
Solona鏈上IDO平臺Solstarter尚未發行代幣:Solona公鏈上首個IDO平臺Solstarter發推稱目前尚未發行代幣,請用戶謹防騙局。[2021/3/27 19:22:57]
Mercurial在增加LP收益上的設計
在傳統的AMM中,LP的費用收益一般來說是固定的。比如Curve一般是0.04%;在UniswapV2一般默認是0.3%;在UniswapV3則做了可供選的費用:0.05%、0.3%以及1%。
跟這些相對固定的費用設計不同,Mercurial采用動態費用設計。在Mercurial中,所有的代幣對資金庫共享相同的動態費用機制。
采用動態費用機制的動機在于為LP提供更合理的收益,當兌換需求增加,其兌換手續費也會隨之增加。尤其是當市場波動性大時,通過更高的手續費,可以減少LP的無常損失,并獲得更高收益。如果市場波動小,用戶兌換需求較小,手續費也會下降,從而激勵用戶進行交易。
Mercurial在確定其費用時,會使用長時間窗口和短時間窗口的交易量衡量,并采用EMA計算,其費用基于交易量比率更新。下圖表示基于市場波動性變化的費用更新。

Mercurial在提升資產收益方面的設計
除了在降低滑點和為LP代提供動態費用收益方面的設計之外,Mercurial還有一個不同的設計是,它會從資金庫的資產中進行動態分配管理,將其配置到外部協議。而其分配算法是通過鏈上的算法管理。除了資產的配置之外,Mercurial的資產管理還包括利息和收益收集,退出特定平臺以及清算所得收益等。

這些收益計劃只有得到DAO的批準之后,才能部署到外部的平臺。DAO來決定每個資金庫可以部署到外部協議的比例。外部收益平臺包括閃電貸、借貸平臺、帶杠杠的穩定幣借貸或其他收益資金庫等。平臺會根據收益、風險以及流動性情況進行選擇。通過收益計劃,做市商的資產利用率得到提升。
MER代幣機制
Mercurial的代幣是MER。MER代幣有機會捕獲如下價值:
兌換的手續費用
MER代幣持有人有機會獲得Mercurail平臺上交易手續費。MER具體如何捕獲交易費用,是回購并銷毀MER,還是分配MER,則會通過DAO治理來決定。
種地收益傭金
MER持有人有機會獲得“種地”或“挖礦”收益的傭金。根據DAO治理,可以通過購買并銷毀MER代幣的形式,也可以通過質押MER代幣獲得相應分配的形式。
合成資產的抵押品
在生成合成資產或其他穩定資產時,MER會被用作為主要的質押代幣。如果合成資產的需求增加,那么會產生對更多MER代幣的需求。這一點類似于Synthetix的SNX代幣的質押功能。
治理價值
在Mercurial的DAO治理中,其主要工具是MER代幣。通過它可以參與DAO的治理。而DAO治理可以決定協議的一些重要參數和決議。比如確定交易以及資金庫收益的基礎費用和傭金;費用是否用于銷毀或分配;可以將資金庫資產部署到哪些協議;資金庫用于種地或挖礦的比例;應該推出哪種新合成資產;LP和質押者獎勵機制;為保險池注入多少資金,以應對資產脫錨的風險等。
這意味著MER本身也有治理價值,如果Mercurial有機會成長起來,那么其治理的重要性會顯現出來。
此外,Mercurial的流動性提供者存入資產可以獲得LP代幣。LP代幣:
1)可以質押用于MER代幣的流動性挖礦;
2)可以在Mercurial資金庫中進行再投資;
3)可在其他借貸平臺用于抵押品;
4)可用于合成資產的生成。
Mercurial的冷啟動計劃
為實現冷啟動,Mercurial試圖從如下幾個方面入手:
用戶界面上,盡可能符合CEX和EVM用戶體驗的設計,以此減少使用摩擦;
鼓勵Kyber社區的參與,Kyber有超過10萬代幣用戶,通過Kyber社區,Mercurail試圖完成初步用戶的積累。
Mercurial的切入點
從上述來看,Mercurial本身更像是一個穩定資產管理協議。它通過其穩定資金庫的構建,為交易者提供穩定資產兌換服務,為流動性提供者提供做市收益、種地或挖礦等資產管理收益。從這個角度,其核心在于對穩定資產的管理。
因此,Mercurial能否取得成功,主要取決于其對穩定資產管理能否成功。而穩定資產管理能否成功主要取決于其穩定資產兌換、穩定資產種地/流動性挖礦收益等。
從這個角度,Mercurial的第一個切入點是對DEX協議的升級迭代,它聚焦于為穩定資產交易者提供更低的滑點,由此吸引交易用戶。而更大規模的交易用戶,會吸引更多的流動性提供者。流動性提供者是Mercurial資金庫的注入者,它們希望有更高的收益,這個收益可以來自于流動性提供,也可以來自于種地或挖礦等。
此外,除了協議本身機制的設計,Mercurial還有一個切入點是,它不是從以太坊生態切入,也不是從波卡、BSC或HECO等鏈切入,而是從Solana切入。這意味著,它早期會主要服務于Solana生態用戶,其早期能否成功也跟Solana生態整體發展息息相關。
Tags:MERCURMERCRIAmerge幣圈LP-paxCurveMERC價格Kambria Yield Tuning Engine
5月21日,國務院金融穩定發展委員會會議中,對于“打擊比特幣挖礦和交易行為”給出了明確要求,鑒于此,比特幣挖礦及其他加密代幣的挖礦行為,在我國將確定退出歷史,相關企業和供應商切勿抱有幻想.
1900/1/1 0:00:00颯姐團隊收集的涉幣刑案公開判決書2000+,其中,組織領導傳銷活動罪409個,占比最高。該罪名頻繁在幣圈出現,是辦案民警十分關注的罪名,今天我們一起聊一聊刑法第224條之一組織領導傳銷活動罪.
1900/1/1 0:00:00BTC.com數據顯示,截至5月17日上午,過去24個小時,比特幣礦池算力突然普遍暴跌。AntPool跌14.7%。F2Pool跌2.21%。Huobi.Pool跌18.47%.
1900/1/1 0:00:005月21日,在國務院副總理、金融委主任劉鶴主持召開的國務院金融穩定發展委員會第五十一次會議上,明確提出要堅決防控金融風險,強化平臺企業金融活動監管,打擊比特幣挖礦和交易行為.
1900/1/1 0:00:00在過去一段時間,包括Aave、Curve、Aavegotchi、OpenSea在內的多個主流以太坊應用選擇了Polygon(原MATIC)來擴展性能.
1900/1/1 0:00:00導讀:進入2021年后,IRS干脆在2020年版本的報稅表格中,加上了與虛擬貨幣相關的問題,而且就放在了納稅表格的第一頁。本杰明·富蘭克林曾說過:人生無法避免的,唯有死亡和稅收.
1900/1/1 0:00:00