BTC/HKD+0.96%
ETH/HKD+1.16%
LTC/HKD+1.51%
ADA/HKD+1.46%
SOL/HKD+0.77%
XRP/HKD+1.31%Solana生態項目逐步增加,借貸、DEX以及衍生品等協議開始豐富起來。Mercurial也是Solana生態上的項目之一。它提供穩定資產兌換服務,這聽上去跟目前以太坊生態中的Curve似乎差別不大。不過,作為后來者,它有更多的機會去學習之前DeFi協議的一些優點。這可以從它的設計中看出來,它在用戶最為關注的交易滑點、LP收益、資產利用率等方面都做了一定的迭代優化。
Mercurial從穩定幣AMM資金池開始切入,為Solana生態提供USDC、USDT、wUSDC、wUSDT等穩定幣的兌換服務,隨著對用戶需求的把握和生態的發展,Solana也計劃為更多穩定資產提供流動性服務。
那么,Mercurial有哪些迭代值得關注?我們先從其整體框架入手。
理解Mercurial的框架
我們可以看看Mercurial的框架圖:

可以看到核心有幾個:Vault、Yield、動態費用、DAO治理。
Solana期權協議Cega將在以太坊主網啟動:金色財經報道,Solana期權協議Cega將在以太坊主網啟動。該協議將提供杠桿期權金庫(LOV)策略,預計將在第二季度推出,該策略將在Solana區塊鏈上已經可用的產品之上提供。LOV是一種期權結構性產品,Cega Finance聯合創始人Arisa Toyosaki表示,它將解決DeFi中的資本效率低下問題,因為它“不需要通過贖回用戶資助的保證金或超額抵押來獲得額外的流動性”。[2023/4/1 13:38:40]
Mercurial有動態的做市資金庫。它的資金庫為穩定資產兌換提供自動做市,LP可以將其穩定資產存入到Mercurial的資金庫中,然后為穩定資產兌換提供流動性,同時通過種地或挖礦等獲得外部協議的收益,如參與借貸、閃電貸以及收益聚合等。此外,LP的費用收益也不是固定的,而是動態變化的,這也是它與眾不同的一個設計。
具體分解來看,有幾個方面是理解Mercurial的關鍵:
Mercurial在降低滑點上的設計
我們知道,目前AMM上進行較大額度的兌換,往往會帶來較高的滑點。即便是穩定資產的兌換也會如此。
Solana啟動為期三周的Grizzlython黑客馬拉松,提供500萬美元獎金和種子資金:2月3日消息,Solana宣布啟動Grizzlython黑客馬拉松,為期三周,持續時間為2023年2月2日至3月14日。Grizzlython提供500萬美元全球獎金和種子資金,贏得Grand Champion可獲得由Circle贊助的5萬枚USDC獎勵。此外,Grizzlython還設置Moblie、DeFi、Payments、Consumer、Tools/Infrastructure、Gaming和DAO/Network States專門獎項。[2023/2/3 11:45:24]
Mercurial跟通常的X*Y=Z的AMM做市模式不同,它的主要不同如下圖:

紅線是傳統AMM做市模式下的滑點變化,藍線是Mercurial的做市模式下的滑點變化。這看上去滑點很低。它是怎么設計的?
主要有兩個方面,一是在提供流動性代幣對資產時,Mercurial并沒有要求提供流動性的代幣對一定為1:1配置,可以靈活配置。二是,Mercurial利用了放大化的價格曲線,將流動性集中到所需范圍內。如果用戶的交易超出交易率范圍,會獲得較少流動性的支持。
Solana TVL跌至10億美元下方:金色財經報道,據DefiLlama數據顯示,Solana鏈上總鎖倉量(TVL)跌至10億美元下方,當前TVL為9.11億美元。24小時跌幅為0.21%。
金色財經此前報道,Solana生態DeFi平臺Mango遭遇黑客攻擊,損失超1億美元。[2022/10/17 17:28:09]
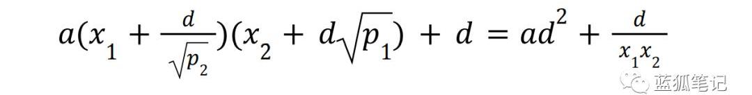
可以通過Mercurial提出的兩個公式來簡單說明:
有兩個代幣組成代幣對提供流動性,假設代幣為X1,X2;其兌換率波動范圍為p1,p2,在常數乘積做市模式下,其公式表達為:

Mercurial在這個基礎上,增加了一些放大系數a,那么得出如下的公式:

在這個公式中,系數a如果是無限大,那么,其所有的流動性都集中在價格范圍p1-p2;如果系數a無限接近于0,那么這個公式就相當于常數乘積的做市模式。
Solana鏈上USDC發行量達47.9億枚,USDT發行量達11.4億枚:12月13日,據官方數據顯示,Solana鏈上USDC發行量已達47.9億枚,USDT發行量達11.4億枚,其中USDC供應量占比現已超過15%。[2021/12/13 7:35:38]
通過上述的設計,Mercurial試圖降低用戶兌換的滑點。這些的設計思路,我們在balancer和dodo上也看到過類似的思考,不過Mercurial目前主要聚焦于穩定資產的兌換為主。
Mercurial在增加LP收益上的設計
在傳統的AMM中,LP的費用收益一般來說是固定的。比如Curve一般是0.04%;在UniswapV2一般默認是0.3%;在UniswapV3則做了可供選的費用:0.05%、0.3%以及1%。
跟這些相對固定的費用設計不同,Mercurial采用動態費用設計。在Mercurial中,所有的代幣對資金庫共享相同的動態費用機制。
采用動態費用機制的動機在于為LP提供更合理的收益,當兌換需求增加,其兌換手續費也會隨之增加。尤其是當市場波動性大時,通過更高的手續費,可以減少LP的無常損失,并獲得更高收益。如果市場波動小,用戶兌換需求較小,手續費也會下降,從而激勵用戶進行交易。
庫幣合約已上線IOST, FIL, SOL永續合約:據庫幣KuCoin交易所消息,庫幣合約已正式上線IOST (IOST), Filecoin (FIL), Solana (SOL)永續合約,支持1-50倍杠桿,以USDT穩定幣結算。庫幣合約是庫幣自主研發的數字貨幣衍生品平臺,目前總用戶數已經超過60萬。[2021/2/24 17:48:10]
Mercurial在確定其費用時,會使用長時間窗口和短時間窗口的交易量衡量,并采用EMA計算,其費用基于交易量比率更新。下圖表示基于市場波動性變化的費用更新。

Mercurial在提升資產收益方面的設計
除了在降低滑點和為LP代提供動態費用收益方面的設計之外,Mercurial還有一個不同的設計是,它會從資金庫的資產中進行動態分配管理,將其配置到外部協議。而其分配算法是通過鏈上的算法管理。除了資產的配置之外,Mercurial的資產管理還包括利息和收益收集,退出特定平臺以及清算所得收益等。

這些收益計劃只有得到DAO的批準之后,才能部署到外部的平臺。DAO來決定每個資金庫可以部署到外部協議的比例。外部收益平臺包括閃電貸、借貸平臺、帶杠杠的穩定幣借貸或其他收益資金庫等。平臺會根據收益、風險以及流動性情況進行選擇。通過收益計劃,做市商的資產利用率得到提升。
MER代幣機制
Mercurial的代幣是MER。MER代幣有機會捕獲如下價值:
*兌換的手續費用
MER代幣持有人有機會獲得Mercurail平臺上交易手續費。MER具體如何捕獲交易費用,是回購并銷毀MER,還是分配MER,則會通過DAO治理來決定。
*種地收益傭金
MER持有人有機會獲得“種地”或“挖礦”收益的傭金。根據DAO治理,可以通過購買并銷毀MER代幣的形式,也可以通過質押MER代幣獲得相應分配的形式。
*合成資產的抵押品
在生成合成資產或其他穩定資產時,MER會被用作為主要的質押代幣。如果合成資產的需求增加,那么會產生對更多MER代幣的需求。這一點類似于Synthetix的SNX代幣的質押功能。
*治理價值
在Mercurial的DAO治理中,其主要工具是MER代幣。通過它可以參與DAO的治理。而DAO治理可以決定協議的一些重要參數和決議。比如確定交易以及資金庫收益的基礎費用和傭金;費用是否用于銷毀或分配;可以將資金庫資產部署到哪些協議;資金庫用于種地或挖礦的比例;應該推出哪種新合成資產;LP和質押者獎勵機制;為保險池注入多少資金,以應對資產脫錨的風險等。
這意味著MER本身也有治理價值,如果Mercurial有機會成長起來,那么其治理的重要性會顯現出來。
此外,Mercurial的流動性提供者存入資產可以獲得LP代幣。LP代幣:
1)可以質押用于MER代幣的流動性挖礦;
2)可以在Mercurial資金庫中進行再投資;
3)可在其他借貸平臺用于抵押品;
4)可用于合成資產的生成。
Mercurial的冷啟動計劃
為實現冷啟動,Mercurial試圖從如下幾個方面入手:
*用戶界面上,盡可能符合CEX和EVM用戶體驗的設計,以此減少使用摩擦;
*鼓勵Kyber社區的參與,Kyber有超過10萬代幣用戶,通過Kyber社區,Mercurail試圖完成初步用戶的積累。
Mercurial的切入點
從上述來看,Mercurial本身更像是一個穩定資產管理協議。它通過其穩定資金庫的構建,為交易者提供穩定資產兌換服務,為流動性提供者提供做市收益、種地或挖礦等資產管理收益。從這個角度,其核心在于對穩定資產的管理。
因此,Mercurial能否取得成功,主要取決于其對穩定資產管理能否成功。而穩定資產管理能否成功主要取決于其穩定資產兌換、穩定資產種地/流動性挖礦收益等。
從這個角度,Mercurial的第一個切入點是對DEX協議的升級迭代,它聚焦于為穩定資產交易者提供更低的滑點,由此吸引交易用戶。而更大規模的交易用戶,會吸引更多的流動性提供者。流動性提供者是Mercurial資金庫的注入者,它們希望有更高的收益,這個收益可以來自于流動性提供,也可以來自于種地或挖礦等。
此外,除了協議本身機制的設計,Mercurial還有一個切入點是,它不是從以太坊生態切入,也不是從波卡、BSC或HECO等鏈切入,而是從Solana切入。這意味著,它早期會主要服務于Solana生態用戶,其早期能否成功也跟Solana生態整體發展息息相關。
-------
風險警示:藍狐筆記所有文章都不能作為投資建議或推薦,投資有風險,投資應該考慮個人風險承受能力,建議對項目進行深入考察,慎重做好自己的投資決策。
Tags:MERCURMERCRIAYFARMERApollo CurrencyMercurity.financeBriaCoin
狂人本著負責,專注,誠懇的態度用心寫每一篇分析文章,特點鮮明,不做作,不浮夸!本內容中的信息及數據來源于公開可獲得資料,力求準確可靠,但對信息的準確性及完整性不做任何保證,本內容不構成投資建議.
1900/1/1 0:00:00注:原文由CarlBeekhuizen發表在以太坊基金會官網。長話短說:以太坊在合并完成后的能源消耗至少能減少99.95%.
1900/1/1 0:00:00來源:財聯社 作者:黃君芝 看漲加密貨幣的人長期以來一直支持比特幣作為黃金的現代替代品,從某種程度上說,這個新市場在這方面已經接近于實現超越黃金這一重大里程碑.
1900/1/1 0:00:00為什么專業投資者采用DeFi的速度會比采用比特幣快?專業投資者“獲得”DeFi的速度比他們獲得比特幣的速度快得多。 這不是猜想;這是事實.
1900/1/1 0:00:00從點到面,通過宏觀數據分析DeFi協議在這次黑天鵝事件引發的壓力測試中的表現。在5月21日晚間政府機構發布了針對「打擊比特幣挖礦和交易行為」的要求之后,全球加密貨幣市場發生持續兩日的劇烈的震蕩,
1900/1/1 0:00:005月19日,加密市場迎來堪比“312”的深度下跌。比特幣盤中觸及30000美元/枚,為2月8日以來首次。過去一周的負面消息打壓了比特幣的人氣.
1900/1/1 0:00:00