BTC/HKD-0.73%
ETH/HKD-1.14%
LTC/HKD-1.84%
ADA/HKD-1.54%
SOL/HKD-2.56%
XRP/HKD-0.02%作者:AlexKoma
翻譯:Sherrie
風險管理是理解保護機制的本質

在特別介紹項目的最后材料,我將介紹給讀者的基本原則的風險管理時,交易加密貨幣,以及教如何正確計算倉位。
風險類型
任何金融交易都存在風險,而風險的種類繁多。
例如:
市場風險——資產價值發生不利變化的風險;
信用風險——加密貨幣發行者破產或未能履行支付義務的風險;
流動性風險——無法以最佳價格將全部頭寸轉換為受托貨幣的風險;
操作風險——無法執行交易操作或存入/提取資產的風險。
這些風險和許多其他風險影響金融市場和個人參與者的運作和穩定。當金融機構或公司違約,金融資產交易或經營活動造成損失,這將對相應資產的價格產生負面影響。這種情況通常違背利益相關者的利益。
根據此類事件的復雜性和數量,這可能導致系統崩潰并引發金融危機。1995年,我們就看到過這樣一個風險管理不善的例子。當時,歷史最悠久的銀行之一巴林銀行(Barings),由于一名交易員對日經衍生品進行投機,進行了一系列交易而破產。根據交易員NickLeeson的回憶錄,1999年拍攝了一部引人注目的電影《RogueTrader》。美國投資銀行雷曼兄弟的破產也經常被認為是本世紀頭十年末期全球金融危機的起點。
Booster與HOGT達成深度戰略合作:近日,DeFi平臺Booster與HOGT達成深度合作,共建去中心化生態,雙方將在DeFi生態、社區合作、資源共享等多領域展開合作。
HOGT將聯合Booster、CoinWind、FilDA等多家Heco 生態項目,為Heco活躍用戶帶來更多福利。
官方消息,HOGT.COM回購銷毀&減產機制將于5月24日19:00正式開啟。[2021/5/24 22:38:46]
關于無效的風險管理所造成的嚴重而深遠的后果,類似的例子還有很多。然而,讓我們回到風險的分類上來。
下面我們將狹義地考慮財務風險,即投資風險。這種風險是由于金融交易而造成損失或損失利潤的可能性。值得強調的是,如果我們不能以任何方式影響系統風險,那么在處理加密資產時,投資風險可以也應該考慮在內。
事實上,在不同的經濟領域,對風險的分類、核算和管理方式存在著巨大的差異。例如,在銀行監管領域,包括風險管理在內最完整的監管文件叫做《巴塞爾協議III》。
隨著時間的推移,類似的指導方針可能會為密碼行業制定出來。
投資風險管理的基本原則
市場參與者應該做的第一件事,無論他是在投資還是投機,都是配置這樣一筆錢,讓他可以心平氣和地面對損失。從心理上講,這個數字相當于月收入的10%。如果你打算繼續專業從事這類活動,那么在任何情況下都不要用從親戚、朋友或銀行借來的錢進行交易。在這種情況下,融資融券交易應極其謹慎,因為提取潛在的高利潤與巨大的風險相關聯。
鏈上ChainUP WaaS聯盟與Vtrading達成深度戰略合作:據官方消息,鏈上ChainUP WaaS聯盟與Vtrading宣布達成深度戰略合作,雙方就區塊鏈技術應用落地、區塊鏈金融服務、資金安全等方面深度合作。
Vtrading作為數字資產AI量化服務平臺,始于2017年12月,針對不同用戶需求提供差異化量化策略服務,提供可視化圖元平臺編輯策略、Hbass系統快速調試回測、PC端策略一鍵發布到APP端策略商城、智能量化托管執行、智能跟單系統、獨立返傭系統、私有定制部署、第三方嵌入式系統等服務,用戶只需要通過API授權就能實現AI自動交易。經300+天實盤驗證,Vtrading量化策略年化收益達50%+。
WaaS聯盟是鏈上ChainUP集團依托3年時間所服務的300多家交易所經驗,將底層資產托管和錢包封裝而成的一套完整的服務,包含資產托管、節點服務、主鏈幣種開發、熱門幣種一鍵接入、共管錢包、借貸理財等多種功能服務,通過開放錢包API與SDK,幫助交易所、項目方、媒體等快速高效接入,實現云端資產安全托管,聯盟內部轉賬0手續費即時到賬。目前,已有超過500家企業加入ChainUP WaaS聯盟。[2020/12/1 22:43:05]
這里我們得出了一個基本的、有邏輯的原則:
風險↑利潤
風險和回報是直接相關的。換句話說,增加的風險應該帶來相應的回報,反之亦然。從這個簡單的原則中得出的結論也相當明顯:如果我們為了獲得同樣甚至更少的收益而過度冒險,那么就應該放棄這種投資。
Bitstamp推出新服務INSIGHTS,以提供市場深度信息:交易所Bitstamp在推特上宣布推出新服務INSIGHTS,旨在為用戶提供加密市場的深度信息,其數據由IntoTheBlock提供。[2020/7/29]
下一個原則是投資多樣化,這在風險管理中非常普遍。這是關于建立平衡投資組合的技巧。然而,在其成立之前,多元化應從降低經營風險開始。在幾個交易平臺之間分配可用資金將減少因黑客攻擊或關閉其中一個平臺而可能造成的損失。
在交易中,這表現為對開倉頭寸的正確計算,也與一般的資金管理模式(資金管理)密切相關。對于許多新手來說,一個極端的例子和一個典型的錯誤是在一筆交易/頭寸上冒100%的資本風險。不要把所有的雞蛋放在一個籃子里——這句話完美地描述了這種情況。
在這兩種情況下,都歸結為確定每個操作的最大可承受風險。
A.Elder的2%和6%規則,限制每個會話的風險
風險管理的標準、基本準則可以在許多交易賬簿中找到。AlexanderElder在他的著作中描述了一種相當流行的風險管理方法。它可以而且應該在最初階段應用,直到它自己的確定交易風險的系統形成為止。
貿易中的“鯊魚”和2%法則。上述錯誤對于初學者來說有可能損失100%資金的風險是有變化的——投資者的風險在存款的30-50%或更多的時刻。Elder把這種情況稱為“被鯊魚吃掉的風險”,因為幾次大的損失,資本可以被歸零。為了防范這種風險,一個頭寸的規模不應超過可用資金的2%。這就是“百分之二原則”。
IOST與Tweebaa推易吧達成深度戰略合作:據官方消息,近日,IOST與基于多維價值體系的價值社交平臺“Tweebaa推易吧”達成深度戰略合作。雙方將圍繞區塊鏈技術創新、品牌共建、政企合作、全球社區拓展、B/C端業務布局等方面展開深度合作,共同打造開放共贏的區塊鏈商業應用。
IOST是全球化的企業級區塊鏈技術應用平臺,致力于將區塊鏈技術應用,推廣至商業端各類行業和客戶端各類應用場景中。
推易吧是基于多維價值體系的價值社交平臺,致力于打造人人都能創新變現的價值社交生態圈,實現物質財富、精神財富、社會財富的共同增長。[2020/6/9]
“食人魚”的交易和6%的規則。有時候,一個交易者,由于這樣或那樣的原因(更多的是心理上的原因),無法阻止一系列無利可圖的交易,這就好比一群捕食的食人魚,一塊一塊地抓住獵物。如果這樣的交易很多,那么資金就會處于高風險區域。
6%的規則限制了交易時刻使用資金的最大份額。換句話說,它設置了每個會話的最大允許風險。如果資本損失超過6%,你需要停止交易一段時間(Elder建議1-2周)。第一,分析情況,第二,避免心理錯誤。
因此,Elder建議每次開倉不超過三筆交易,每筆交易限制在資本的2%以內。當然,這些規則可以隨著時間的推移而修改,以適應你的交易策略,改變百分比和花在分析上的時間,但建議保持基本概念的原始形式。
動態 | 騰訊云啟基地落戶江心洲 雙方將以區塊鏈等技術為支撐展開深度合作:據揚子晚報網報道,1月30日,建鄴區人民政府與騰訊公司在深圳簽署戰略合作協議。建鄴區副區長楊晨與騰訊云副總裁道峰分別代表雙方簽約。根據協議,雙方將以人工智能、大數據、云計算、區塊鏈、物聯網等現代信息技術為支撐,在智慧政務、智慧民生、智慧產業等方面展開深度合作。[2019/1/31]
正確的倉位計算
有必要制定一個規則,把每件事都當作百分比來計算。風險可以被描述為不利結果的可能性。此外,風險被理解為可能的經濟損失水平。因此,風險是一個二維的數量,它表征了損失的概率和數量(來自總資本),所有這些值都用百分比表示。
在計算時,考慮加密交換的各種費用是非常重要的。它們可以是:
資金的轉移、存取;
開啟一個倉位(和關閉另一個倉位);
杠桿的使用等。
杠桿率及其對風險的影響
加密貨幣交換大致可以分為以下幾種類型:

這里重要的一點是,杠桿增加了持倉規模,但也增加了同樣數量的風險。例如,在100的杠桿作用下,從開盤價向相反方向移動1%將導致100%的損失和追加保證金通知(事實上,由于傭金和交易機制的原因,甚至更早)。
倉位控制
為了管理頭寸,你需要使用止損(SL)和獲利(TP)等待訂單。我們來介紹一下這個值:

其中:
C——損益比率;
A——觸發TP指令時的利潤;
B——當SL訂單被觸發時丟失。
在有關交易的文獻中,經常建議使用交易策略和切入點,其計算值為C從2到3。換句話說,從交易中獲得的潛在利潤應該是可能損失的幾倍。
一些交易者在交易中不使用SL,而傾向于“袖手旁觀”。這使得風險控制變得復雜(下跌可能會繼續)。在保證金交易中尤其如此。
我們強烈鼓勵所有新手在杠桿交易中使用SL。
下表說明了在不同損失數額的情況下,保持收支平衡所需的資本利得百分比:

從表中的數據可以看出,頭寸規模管理起著關鍵的作用,交易者虧損越多,就越難收回原來的交易資金。
例如,一筆1000美元的存款在一系列交易虧損后變成了100美元。現在,為了收回最初的資金,交易員需要將100美元的金額增加900%。
如果沒有適當的風險管理,股票交易所的交易就會變成賭場的游戲。
用Kelly公式計算倉位
許多投資者使用Kelly公式來管理風險。它的作用是確定可用于交易的資本的最大允許百分比。
資本占比的計算公式如下:

其中:
x——經營/交易的金額;
K——是可用資本的數量。
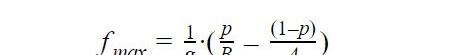
Kelly公式定義了f的極限值:

其中:
P——是交易策略取得積極結果的概率;
A——觸發TP指令時的利潤;
B——觸發SL訂單時的損失;
g——使用的杠桿(等于1,如果沒有使用杠桿)。
不建議使用最大fmax值計算方杠桿公式。
降低評估風險的最佳范圍:

在這個階段,還有一個與不正確的概率定義相關的額外風險。
使用概率
有幾種不同的方法來確定一個積極的投資結果的概率:
如果預測源是外部的,則可以將成功信號的平均百分比作為參考點。然而,應該記住,例如,無數組/聊天即時信使(主要是電報)可能扭曲真實的統計數據;
如果一個交易員/投資者獨立地應用一個交易策略,保持交易記錄,并有可靠和完整的統計數據(或有能力在歷史上測試他的策略),那么:

其中:
p——交易策略取得積極結果的可能性/積極交易的轉換;
M——盈利行業的數量;
N——策略的總交易數量。
你需要明白,在任何情況下,來自交易日志(報表)的數據都不會給出一個靜態的結果——總是會有錯誤和分散的值。在處理歷史數據時,總會有市場狀況變化的風險,這會導致未來策略的有效性下降。
結論
正如我們在特別項目開始時所說,任何金融交易都是有風險的。投資者的主要任務不是完全放棄風險,而是選擇一種解決方案——在多大程度上承擔這種風險是合理的。
在任何類型的投資中,能夠提前和正確地識別風險是必要的。換句話說,你應該明白我們指望的潛在利潤是什么,我們準備接受的損失是什么。此外,如果沒有系統性交易,上述所有建議都不會給出一個結果,系統性交易意味著會計、計算和分析所有未平倉頭寸。
一個真正成功的交易者不是賺了幾百萬的人,而是在市場上不虧不輸的人。
Tags:區塊鏈OSTTRAELD區塊鏈工程專業學什么女生比較好Super Heavy Booster 4Traders Global BusinessSHIELD幣
作者/?LongHashJosephYoung 來源/LongHash 近幾個月內,Harvest,Akropolis,ValueDeFi,CheeseBank,Eminence.
1900/1/1 0:00:00SNX一周內上漲了40%左右,最高漲至8.13美元。根據最新數據顯示SNX的價格6.82美元,而一周前的價格為5.28美元.
1900/1/1 0:00:00還有15天,動蕩魔幻的2020年將迎來最終章。這是各行各業都值得好好復盤的一年,對一些人來說2020是災難,也有人認為今年是這幾年中最好的年份,尤其從二級市場來看2020,是一場十幾年不遇的牛市.
1900/1/1 0:00:00很多年之前,我還在北京創業,曾受邀去深圳做一場演講,受眾是券商、銀行、保險等傳統金融從業人員,演講的主題是比特幣.
1900/1/1 0:00:00對于加密貨幣行業來說,2020年是充滿機遇與挑戰的一年。這一年,我們經歷很多無妄之災:新冠疫情的爆發、美股兩周四次熔斷、幣圈312暴跌、交易所黑天鵝……市場的不確定性氛圍濃厚.
1900/1/1 0:00:00來源:格隆匯 12月15日,OSL數字資產平臺宣布獲得香港證監會頒發的首個數字資產牌照,即1號牌和7號牌。OSL數字資產平臺是港股上市公司BC科技集團子公司,也是亞洲最大的數字資產平臺.
1900/1/1 0:00:00