BTC/HKD-0.23%
ETH/HKD-0.18%
LTC/HKD-0.41%
ADA/HKD-1.06%
SOL/HKD-0.76%
XRP/HKD-1.24%摘要:對比利率模型的優劣。
目前市場上存在多種基于資金池的DeFi貸款服務,每一種服務都提供不同的利率模型,以保持貸款人和借款人需求之間的平衡。
存款人從基于資金池的DeFi貸款服務中獲得的利息與借款人創造的利息成正比。因此,對于儲戶來說,以盡可能高的利率借出盡可能多的代幣的服務是最可取的。同時,從借款人的角度來看,以盡可能低的利率借款是有益的,因此在上述雙方之間找到平衡是至關重要的。
這個過程中的主要因素是利用率。對于這些基于資金池的DeFi貸款服務,資金池是由貸款者存入的資金維持的,貸款者從資金池中取出貸款。利用率是貸出資金的一個指標(總借款),而代幣的總可貸出金額(總存款+協議權益)則是另一個指標。
通常,高使用率表示用于貸款的資金池的百分比較高,因此,存款人的利率更高。相反,較低的利用率意味著更少的貸款,更低的利率。
Sorare發布基于NFT的NBA夢幻籃球游戲測試版:10月18日消息,NFT體育游戲開發商Sorare宣布推出基于NFT的NBA夢幻籃球游戲測試版,玩家可以使用代表NBA球星的NFT創建和管理球隊,這款游戲基于以太坊區塊鏈開發,將發行5,000枚NFT限量卡、1000枚稀有卡、100枚超級稀有卡、以及1張獨特卡。
截止目前,Sorare旗下NFT游戲已經覆蓋籃球、足球和棒球三大運動。(Venturebeat)[2022/10/18 17:31:09]
這種決定利率的機制有兩個主要目的:
1、存款利率高
為存款提供高利率,提高存款的利用率勢在必行。
如果貸款者和借款者的需求在當前的市場利率下得到滿足,那么更高的利用率將為存款人帶來更高的利率。這在系統中創建了一個健康的強化循環。然而,如果利率很低,那么提供給存款人的利率也會很低,從而降低了他們將資金留在系統中的動機。這將導致提現的增加,導致資金池不斷減少。這最終導致系統的活動降低。
基于波場的穩定幣借貸平臺JUST的TRX質押量已經超過10億枚,達1550萬美金:據最新消息顯示,基于波場的穩定幣借貸平臺JUST的TRX質押量為1022769926.88,已經超過10億枚,達1550萬美金。JUST是在波場TRON上運行的第一個DeFi項目,旨在打造基于波場TRON的穩定幣借貸平臺,同時也是全球領先數字交易平臺、交易量曾登頂全球Top3的Poloniex LaunchBase首期上線項目。[2020/5/18]
2、穩定的提款
為了能夠統一地響應取款請求,重要的是保持一定數量的資金可用來立即取款。如果系統無法處理所有的取款請求,則增加了發生銀行擠兌的可能性。這將破壞系統的信譽,并導致用戶流失。為了防止這一切發生,必須將利用率保持在一定的水平。如果利率接近100%,就必須通過迅速提高利率來鼓勵收回借出的資金或增加存款,以確保資金池的流動性。
動態 | 基于鏈上交易穩定幣的應用正在增長:據Cointelegraph消息,Diar 12月10日發布的最新報告顯示,基于鏈上交易的增加,穩定幣的應用正在增長。按每日匯率計算,四個主要的穩定幣USDT、TUSD、PAX和GUSD——在三個月的時間里已經突破了50億美元的鏈上交易記錄。據悉,11月的鏈上交易較9月激增1032%,穩定幣市場突破23億美元大關。[2018/12/11]
如你所見,利率模型在基于資金池的DeFi貸款服務中發揮著至關重要的作用。每一種服務都花費了大量的時間和精力來完善模型。
以下是對各種DeFi貸款服務及其利息模型的深入分析。本文分析選擇的DeFi項目包括:compound、Fulcrum、dYdX、DDEX和Divine。它們的利率模型主要分為三類:線性模型、多項式模型和指數模型。
人物 | 華爾街高管Ann LaCarrubba加入基于區塊鏈的借貸平臺:據coincryptorama消息,10月15日,位于紐約的一個基于區塊鏈的借貸平臺Celsius Network宣布Ann LaCarrubba已經加入這個團隊,成為他們的總法律顧問和首席合規官。Ann在金融服務公司擁有超過20年的法律、合規和治理經驗,曾在美國運通(American Express)、Merlon Intelligence和黑石集團(Blackstone Group)擔任高級職位。[2018/10/16]
線性模型
Compound和Fulcrum使用的是線性利率模型。

CEX發布關于全球通用積分基于ERC-20發行的公告:為了增加CEX的透明性,CEX基于ERC-20發布了CEX全球通用積分CoinEXchange Token,代幣簡稱:CEX,總量1.5億,永不增發。[2018/4/3]
線性利率模型(Compound和Fulcrum)

隨著利用率從0%上升到100%,Compound的利率保持在之間,Fulcrum的利率保持在之間。
1、在目前市場利率(DAI為12.5%)下,Compound在50%的利用率下達到平衡,而Fulcrum是在61.3%,Compound<Fulcrum。
2、在90%利用率下,Compound斜率為0.15,Fulcrum斜率為8.2125(x=0.9+時的導數),Compound<Fulcrum、
我們假設提取資金池的配置為10%,因此選擇了90%的利用率進行比較。
對于Compound等簡單的線性模型,必須選擇較低的坡度才能獲得較高的利用率。當利用率較高時,與其他模型相比,降低利用率以達到穩定的壓力較低,且該模型存在較大的銀行擠兌風險。然而,Fulcrum引入了另一個具有一定值的線性模型,從而降低了該模型所具有的風險。
多項式模型
dYdX和DDEX是使用多項式模型計算利率的服務。

利率多項式模型(dYdX,DDEX)

隨著利用率從0%上升到100%,dYdX的利率保持在,DDEX的利率保持在之間。
1、在當前市場利率下,dYdX達到均衡的利用率為75.5%,DDEX為49.1%。(dYdX<DDEX)
2、在90%利用率下,dYdX斜率為1.55,DDEX斜率為3.08(x=0.9+時的導數)(dYdX<DDEX)
多項式模型的利率隨著利用率接近100%而急劇上升。與線性模型相比,多項式模型能更好地實現資金的穩定性,便于提取資金。
指數模型
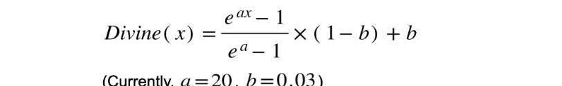
最后,Divine是一個使用利率指數模型的服務。(目前由Trinito使用)

利率指數模型(Divine)

隨著利用率從0%上升到100%,Divine的利率保持在之間。最小利率通過值b設定,斜率由值a確定。
1、在目前市場利率下,Divine達到均衡的利用率為88.4%。
2、在90%的利用率下,Divine的斜率為2.63。(x=0.9+的導數)
指數模型與多項式模型相似,可以在利用率較高時迅速提高利率,增加資金實現流動性的動力。同樣,從上圖中可以看出,曲率系數高(a=20),在一定的利用率(70%)以下,可以提供一個相當固定的利率。這是一個很大的優勢,因為該系統可以在不進行額外干預的情況下提供流動性和利率的穩定,本質上解決了大多數基于池的DeFi貸款服務固有的風險。
正如您所看到的,每個DeFi貸款服務都有一個適合其服務的不同利率模型。因此,很難說哪一個是完美的。這些都在經受市場的檢驗,完善利益模型機制、提高效益的工作還將繼續。
作者:DivineProtocol
編譯:共享財經Neo
Tags:DEFEFICOMPCompounddefi幣聯合坐莊是騙局嗎defi communitycomp幣值得長線持有嗎Yearn Compounding veCRV yVault
在上周五的核心開發者電話會議上,以太坊伊斯坦布爾硬分叉全系統升級的測試網激活日期已經確定。“我們選擇的區塊高度預計在10月2日左右達到,”以太坊基金會社區經理HudsonJameson上周五在以.
1900/1/1 0:00:00昨日,桐成控股?(01611.HK)發布公告稱,董事會建議將公司英文名稱“PantronicsHoldingsLimited”更改為為“HuobiTechnologyHoldingsLimite.
1900/1/1 0:00:00摘要:三種合約形式是不同生產力條件下的產物,并將長期并存關鍵詞:合約合意智能異同法源交易成本人類文明不斷發展的標志之一就是人和人之間的關系逐步契約化.
1900/1/1 0:00:00地址 這里要說的地址并不是通常的編程語言中的內存地址,而是交易地址。我們知道區塊鏈進行價值傳遞的時候必須是通過一個地址傳遞到另一個地址,無論交易或者合約都離不開地址.
1900/1/1 0:00:00在本文中,我們將以以太坊區塊鏈上的分片技術為例,分析分片技術將如何實現區塊鏈擴容。 在本文中,我們將以以太坊區塊鏈上的分片技術為例,分析分片技術將如何實現區塊鏈擴容.
1900/1/1 0:00:00向父母介紹完區塊鏈之后,他們就會放過你了嗎?反正我父母沒有,接著開始追問:那區塊鏈和炒Token有什么關系?尤其是那個比特幣,究竟是個什么東西?這讓我想起來在剛剛入門區塊鏈行業的時候.
1900/1/1 0:00:00