BTC/HKD-0.36%
ETH/HKD-1.32%
LTC/HKD-1.27%
ADA/HKD-2.14%
SOL/HKD-1.69%
XRP/HKD-1.13%作者介紹:
0xmc@0xreviews:機制審計、產品設計、密碼經濟學獨立研究員。
0xjezex@0xreviews:代幣經濟學獨立研究員,初級Solidity工程師,倫敦帝國理工學院金融科技碩士生。
0xstan@0xreviews:獨立開發者,DappLearning核心貢獻者。
paco@perp.com:Solidity開發者、安全研究員、DeFi愛好者。
前言
Curve穩定幣最難的部分是LLAMMA。LLAMMA參考了Uniswapv3中的一些原則。但是,白皮書中的價格與Uniswapv3白皮書中的算法不同。我們將統一這兩個項目,并嘗試了解CurveCEO是如何設計這個演算法。
用Uniswapv3作為參考
本文中價格的定義與Uniswapv3互為倒數。因此,我們修改了Uniswapv3白皮書中的公式,讓它與本文保持一致。簡而言之,LLAMMA試圖讓Uniswapv3中的一切都變得動態,以便為crvUSD債務人和清算人提供更適當的價格。
恒定乘積公式(ConstantProductFomula)比較
Uniswapv3白皮書中的公式(2.2):

Synergis Capital完成5000萬美元二期種子基金募集:7月18日消息,加拿大風投公司Synergis Capital宣布二期種子基金募集已完成,規模為5000萬美元。
Synergis Capital表示,隨著科技市場在去年迎來調整,現在是支持下一波創始人構建創新應用的最佳時機。企業級區塊鏈解決方案顯著的節省成本和提高效率的潛力,正處于被企業廣泛采用的邊緣。消費者線上沉浸式定制化體驗也將改變品牌和消費者的互動方式與內容的創建方式。[2023/7/18 11:01:51]

圖一:Uniswapv3虛擬流動模擬
Curve穩定幣白皮書中的公式(1):


圖二:有外部價格來源的AMM
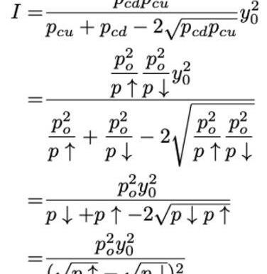
在這裡Pcd代表Pcurrent_down,Pcu代表Pcurrent_up
而對應關係為:
徐明星:OKX在samo突發行情中誤封約10個賬戶,正在改進風控策略:5月26日消息,OKX創始人徐明星在推特發文稱:“由于SAMO出現了突發行情,大約10個賬戶命中了‘疑似被黑的風控策略’,這個策略會臨時凍結賬戶,客服會立即聯系客戶核實是否為本人操作,目前所有的被凍結賬戶都已經解凍。這個風控策略確實存在缺陷,導致了本次的誤殺,團隊正在改進這個風控策略。”[2023/5/26 10:41:15]

對應的恒定乘積公式為:

而在這之間:

流動性計算公式對應
Uniswapv3白皮書中的公式(6.7):

由于它們的價格定義之間存在倒數關係,對應的公式為:
MetaMask“Portfolio Dapp”新增加密貨幣購買功能:金色財經報道,MetaMask宣布“Portfolio Dapp”新增加密貨幣購買功能,用戶只需導航到Dapp中的Buy選項,并連接 MetaMask 錢包,即可進行購買。目前該功能已支持 189 個國家與 PayPal 等多種付款方式。[2023/4/11 13:55:16]

此公式的一個具體應用是:

平方展開可以得到:

從上面的公式我們很容易的可以了解,當y0保持不變,Pcd和Pcu數值越接近,相對應的流動性I則越大。
換句話說:

流動性不可能是無限的,在UniswapV3中對應最小的tick會限制L的大小。
Arbitrum基金會網站因網絡擁堵宕機:金色財經報道,在Arbitrum宣布 Token ARB開放空投申領后,Arbitrum基金會網站以及區塊瀏覽器ArbiScan因網絡擁堵宕機,Arbitrum基金會網顯示 429 錯誤。此外,據uniswap數據顯示,ARB(Arbitrum)現報價為2.4美元。[2023/3/23 13:22:37]
由此可以推斷在LLAMMA中,我們還需要定義一個指標來衡量價格之間的最小差異,來繼續Uniswapv3和Curve的類推。
對應最小差價

從A的定義中可以看出?,當p↓和p↑越接近時,A則越大,流動性集中度越高:

Uniswapv3中,只有能被tickSpacing整除的tick才能被預設。因此,tickSpacing決定了LP分配流動性的最低價格范圍。tickSpacing越小,價格范圍越窄、越精確。在Uniswapv3中,不同的費用等級決定了不同的tickSpacing。
然而,crvUSDLLAMMA不需要那麼多tickSpacing。由于LLAMMA僅有ETH-crvUSD,因此只需要讓每一個tickSpacing=100basepoint。?
數據:標記為幣安的地址發送1.4億枚USDT到另一地址:金色財經報道,WhaleAlert監測數據顯示,北京時間9月13日14:00:24,140212770枚USDT從標記為幣安的波場地址發送到TAzsQ9Gx8eqFNFSKbeXrbi45CuVPHzA8wr。[2022/9/13 13:26:27]
來自Uniswapv3的公式(6.1):

在LLAMMA中,A=100,來自Curve穩定幣白皮書的公式(11):

設置n=-i,A=100,我們會得到:

設計Pcd和Pcu
我們希望LLAMMA具有以下屬性:當ETH價格上漲時,礦池購買ETH。當ETH下跌時,礦池出售ETH。在這樣的機制下,我們把Pcd和Pcu定義為Po的函數并且比線性函數更陡峭,因此它們的增長率會比Po更快。同時從圖中可以看出兩條曲線Pcu和Pcd分別通過兩點(P↓,P↓)和(P↑,P↑)。滿足以上要求的Pcd和Pcu其實有很多曲線。通用公式為:

當m<n
讓我們從最簡單的例子開始:

把Pcu和Pcd帶入I的平方展開:

然后f2可以計算為:

不難發現f2在這種假設下很難理解和計算。如果Pcu和Pcd是?Po的三次函數:

把Pcu和Pcd帶入I的平方展開:

重新計算f2:

可以看出,當?Pcu和Pcd是Po的三次函數,整個數學形式就簡單多了。去掉了平方根項,計算方便多了。如果接受更高的訂單,則AMM的價格和Po將相差很大,因此購買ETH的成本會更高,而導致更大的清算損失。總之,把Pcu和Pcd定義為Po的三次函數是一個更好的選擇。
其他參數的推導
Pcu和Pcd是關于Po的三次函數,取特別數值Po=P↑,不難得到Y=Y0和X=0,于是:

鑒于I的公式,我們可以計算f和g:

在這邊,我們最終得到完整的恒定乘積公式:

將上方公式轉化為Y0二次方程式:

用一個未知數的二次方程求解Y0:

如果價格變動的夠慢讓預言機價格Po完全有能力遵循它,給定X和Y,使用Uniswapv3的計算公式,是有可能計算出ETH的Y↑是多少或美元的X↓最終將處于的區間內:

參考出處:Adams,Hayden,etal."Uniswapv3core."Tech.rep.,Uniswap,Tech.Rep,2021fromhttps://uniswap.org/whitepaper-v3.pdfEgorov,Michael,andCurveFinance.Curvestablecoindesign.Technicalreport,CurveFinance,Tech.Rep,2022fromhttps://github.com/curvefi/curve-stablecoin/blob/master/doc/curve-stablecoin.pdf
Tags:SWAPUNIUniswapCURuniswap幣最新消息UNIXuniswap幣總量有多少LP renBTC Curve
DeFi數據研究員@ThorHartvigsen追蹤前20位的加密風投1200多個錢包。他公布8家頂流加密風投在本年1-2月的錢包動向,以及他們最大的持倉和最近的投資動向。我進行了帖文翻譯.
1900/1/1 0:00:00在這個RadiantCapitalTwitterSpaces中,來自抵押穩定幣協議VestaFinance的聯合創始人Mikey和營銷主管Vestator與來自RadiantCapital的Is.
1900/1/1 0:00:00致力于成為西方和亞洲Web3生態的連接者,Web3風投基金OPCrypto創始人DavidGan僅疫情期間就拜訪了30多個國家,活躍在非洲、南美洲、歐洲和亞洲等地區的Web3中心.
1900/1/1 0:00:00全球頂級金融中心日本、香港和新加坡擁有全球最成熟的金融法規。因此,關于如何監管加密貨幣的討論始于多年前就不足為奇了,盡管他們的方向截然不同.
1900/1/1 0:00:002022?年?10?月?31?日,香港特區政府財經事務及庫務局在香港金融科技周開幕禮上,正式發布《有關香港虛擬資產發展的政策宣言》.
1900/1/1 0:00:00最近,BUSD發行商Paxos陷入了與美國SEC拉鋸戰,SEC質疑其背后缺少充足的資產儲備,作為由全球第一大交易所幣安背書發行的穩定幣,BUSD也被很多人視為幣安商業版圖之一.
1900/1/1 0:00:00