BTC/HKD-0.75%
ETH/HKD-1.25%
LTC/HKD-0.31%
ADA/HKD-0.66%
SOL/HKD-0.94%
XRP/HKD-0.64%不同多項式承諾方案列表

上表中,FRI是Starkware采用的多項式承諾方案,可以實現量子級別的安全,但證明的數據量卻是最大;IPA是Bulletproof和Halo2零知識算法默認的多項式承諾方案,驗證時間相對較長,采用的項目有門羅幣,zcash等,前兩者是不需要初始可信設置的。
由上圖可以看出在證明大小與驗證時間上,KZG多項式承諾的優勢比較大,KZG承諾也是目前應用最廣的一種多項式承諾方式。但KZG是基于橢圓曲線,配對函數,需要初始可信設置的。
ETH升級路線與多項式承諾的關聯
在ETH相關生態及其未來升級路線中,都可以看到多項式承諾的蹤影。

TheMerge:
現時的以太坊主鏈和BeaconChain將會合并,原本的PoW(工作量證明)共識將會轉變成PoS(權益證明)。
TheSurge:
添加DAS,極大的提高ETH的擴展性,通過Danksharding增強rollup性能。
TheVerge:
引入Verkle樹(VerkleTrees)的設計來優化以太坊上的數據存儲。
前第一共和國銀行CEO:第一共和銀行破產是因其他銀行倒閉所致:金色財經報道,前第一共和國銀行CEO羅夫勒表示,第一共和銀行倒閉是由于其他地區銀行倒閉帶來的風險傳染,對銀行倒閉的恐慌引發第一共和銀行存款外流。“需要明確的是,第一共和國沒有人能夠預測到硅谷銀行和簽名銀行的崩潰,包括其發生的速度、對銀行業和消費者信心的災難性影響,”
羅夫勒在周三出席眾議院金融服務委員會之前的準備證詞中說。摩根大通本月初同意收購第一共和銀行,該銀行成為美國歷史上第二大破產銀行,也是今年第四家倒閉的地區性銀行。[2023/5/17 15:08:40]
ThePurge:
通過剔除歷史數據和消除技術債務,驗證者不再需要使用大量硬盤空間去進行驗證工作。
TheSplurge:
四個不同部分升級后的協調,旨在減少錯誤(Bugs)的出現和確保網絡能暢順運作,還有就是EVM改進和添加賬號抽象模型等。
其中TheSurge升級將借鑒多項式承諾技術實現數據可抽樣性功能,TheVerge升級將利用多項式承諾來優化其數據結構,ETHL2的zkrollup也都采用了多項式承諾來實現其零知識證明帶來的性能拓展。
什么是KZG多項式承諾
此文這里只介紹較好理解的KZG多項式承諾,KZG多項式承諾也被稱為卡特多項式承諾方案,是Kate,Zaverucha和Goldberg一起發表的。在一個多項式方案中,證明者計算一個多項式的承諾,并可以在多項式的任意一點進行打開,該承諾方案能證明多項式在特定位置的值與指定的值一致。
加密初創公司獲得750萬美元融資 紅杉資本等參投:金色財經報道,加密初創公司Turnkey從Variant、紅杉和Coinbase等投資者那里籌集了750萬美元。Turnkey 的目標是成為開發人員優先的工具,允許用戶“生成數百個錢包并在任何鏈上簽署數千筆交易。[2023/3/22 13:18:04]
之所以被稱為承諾,是因為當一個承諾值發送給某對象(驗證者)時,證明者不可以改變當前計算的多項式。他們只能夠對一個多項式提供有效的證明;當試圖作弊時,它們要不無法提供證明,要不證明被驗證者拒絕。
KZG數學原理
詳細可參考QiZhou博士在DappLearning講解的關于?KZG視頻。
在理解KZG之前,可以先了解一下多項式、群、環、域、橢圓曲線、生成元、配對公式、朗格朗日插值等數學定義。

具有可信設置的多項式承諾

單個證明
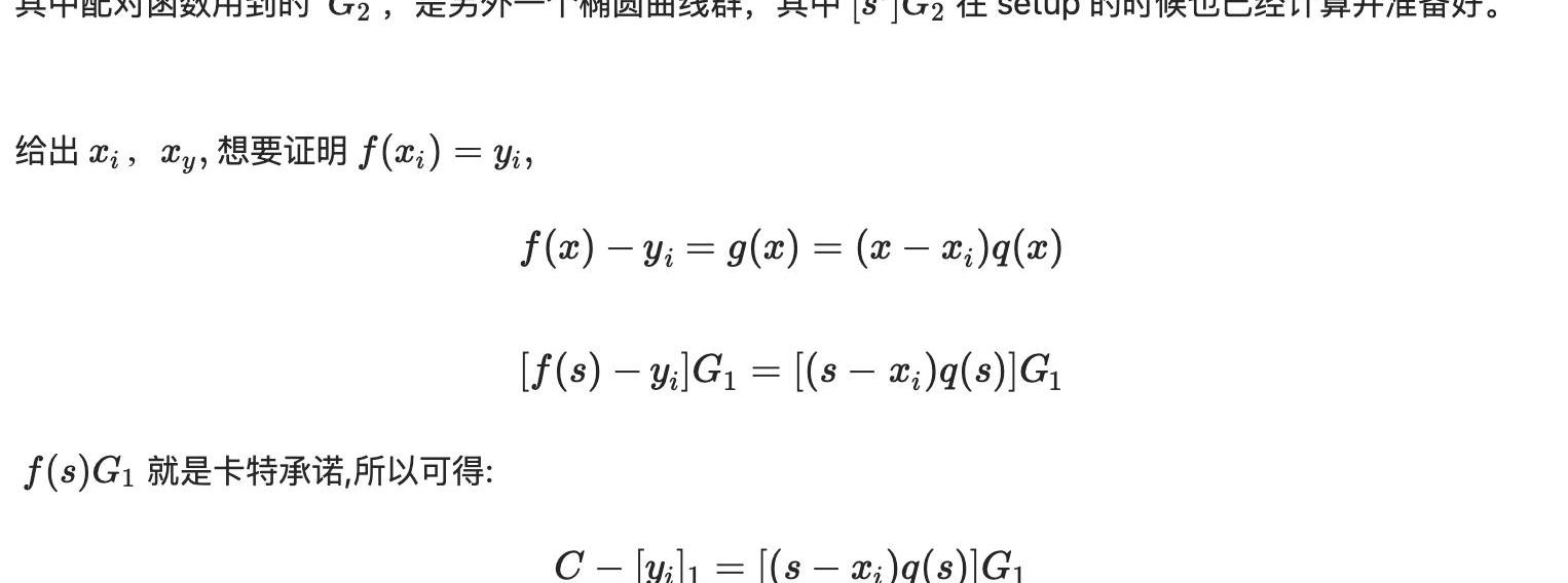
卡特證明單個數據的公式推衍如下,由于橢圓曲線群只支持加法同態,無法支持多項式之間的乘法,這是就需要通過配對函數解決,
由于橢圓曲線群并不支持運算多項式之間的乘法運算,所以此時得采用配對函數去解決。
加密交易所Liquid Global暫停所有提款:11月15日消息,加密交易所Liquid Global表示,由于FTX(Quoine Pte.Ltd的最終受益所有人)根據破產法第11章申請破產保護,Liquid Exchage(Quoin Pte.)暫停所有提款,包括法定貨幣和加密貨幣。
在另行通知之前,Liquid Global建議不要存入法幣或加密,并將在可用時提供更新。[2022/11/15 13:09:02]

由于橢圓曲線群并不支持運算多項式之間的乘法運算,所以此時得采用配對函數去解決。

批量證明

具體應用場景
多項式承諾應用方向總結起來可以分為3大類
數據可用性數據結構優化零知識證明系統1.數據可用性
DAS
核心目的:數據缺失則無法通過大多數節點抽查
盡力做到:占用帶寬小,抽樣過程所需計算量小
MEV基礎設施提供商Skip完成650萬美元融資:金色財經報道,MEV基礎設施提供商 Skip 宣布完成650萬美元融資,用于在 Cosmos 生態系統中實現礦工可提取價值 (MEV)機會和利潤的民主化。
投資者包括 Bain Capital Crypto、Galaxy Digital、Robot Ventures 和 Jump Crypto。[2022/9/22 7:14:29]
糾刪碼

糾刪碼會增加額外數據塊,這種情況很容易通過抽樣調查發現,從而提升安全性。
以上圖為例,有4個數據,一次只能抽樣一個,假設一個數據有問題,每個用戶抽樣發現錯誤的概率是1/4,但是加入兩數據塊后,還是一個數據有問題,用戶抽樣發現的概率可以高達1/2。這樣就能大幅提升安全性。
KZG也可實現糾刪碼,利用拉格朗日公式:
比如把(0,3),(1,6)帶入公式可得,y=3x+3
y1,y2?可以理解為要保存的數據,
對應點(3,12)等等,其中?y?值可以作為糾刪碼數據,其中任意兩個點都可以推出原多項式公式系數。

加密貨幣托管公司Komainu獲得在迪拜運營的臨時監管批準:7月27日消息,加密貨幣托管公司Komainu獲得了在迪拜運營的臨時監管批準。迪拜虛擬資產監管局(VARA)初步批準了這項申請。Komainu戰略負責人Sebastian Widmann表示,公司將與監管機構合作,以申請完整牌照,但未就審批的時間表置評。
Komainu成立于2020年,由日本投資銀行野村證券、歐洲數字資產管理公司CoinShares和法國硬件錢包制造商Ledger共同創建。(Blockworks)[2022/7/27 2:40:51]
不同數據可用性項目組成
Celestia=Tendermint(cosmos)+2d糾刪碼+欺詐證明+Namespacemerkletree+IPFS基礎設施
PolygonAvail=Substrate(Polkadot)+2d糾刪碼+KZG多項式承諾+IPFS基礎設施
ETHprotoDankSharding=Blobs數據+2d糾刪碼+KZG多項式承諾+ETH基礎設施
EIP-4844升級將在TheMerge之后的下一個以太坊分叉升級中引入“proto-danksharding”并添加blob交易類型,這有望將第2層Rollup的可擴展性提高,同時為實現完全分片鋪平道路。
BlobTransaction
增加一種新的交易類型,這種交易包含額外的存儲空間——BlobsBlob開始只有128KiB的存儲空間一個交易最多包含2個Blob,即256KiB
一個Block最多包含16個,即2MiB;Target是8個,即1MiB
3.Blob以KZGCommitmentHash作為Hash,用于數據驗證,作用和Merkle類似
4.節點同步鏈上的BlobTransaction后,Blob部分會在一段時間后過期刪除

L2需要通過更新目前在L1的合約,以支持DankSharding。
Celestia通過欺詐證明實現。當見證人發現數據沒有被正確采用刪碼技術,那么這個人就會將欺詐證明提交從而來提醒其他節點。但是這里需要最少誠實假設和同步假設。
protoDanksharding后的以太坊和PolygonAvail則采用了KZG多項式承諾(KZGcommitments)的方法。
KZG多項式承諾方案,理論上要優于欺詐證明方案,帶寬需求更小,抽樣所需計算量也更小,也免去了欺詐證明中的包括少數誠實假設和同步假設等的安全假設。未來ETH也有意引入抗后量子密碼學(參考stark,采用哈希,不在使用橢圓曲線作為基礎),避免量子計算機攻擊。
2.數據結構優化VerkleTree
VerkleTree的概念在2018年推出,作為ETH升級的一個重要部分,其相比于MerkleTree,在Proof的大小上,有著很大的提升;對于規模在十億級別的數據,MerkleTree的proof大約需要1kB,而對于VerkleTree,它將小于150Bytes。
與MerkleTree一樣VerkleTree也能實現ProofofInclusion,而且只需KZGroot和Data就能驗證,不需要額外的Proof,更省帶寬。
1.需求:StatelessClient
節點不存完整的StateTree,只獲取需要的State來驗證Block
PortalNetwork
對StateTree的PoI有更高的性能要求
2.回顧DataAvailability里的?KZGcommitment
a.每個leaf都是polynomial上的點
b.constantsizeproof,和leaf數量無關

3.VerkleTree

在不同樹結構中構建證明,更新證明,以及證明所需的復雜度:

Verkle方案不需要以太坊客戶端下載完整的狀態數據,使得ETH驗證者輕節點成為可能(甚至可支持手機運行),多項式承諾需要的證明空間復雜度大幅降低,帶寬量需求量也大幅減少。
3.?零知識證明系統

早期zk技術屬于線性PCP類。除要求可信設置外,主要缺點是如果需要為不同的計算提供證明,都需要一次新的設置。近期zk技術PIOP類支持通用初始設置和透明設置。
新的zk證明系統通常可以描述為PIOP+PCS。前者可被視為是證明者用來說服驗證者的約定程序,而后者使用數學方法確保該程序不會遭到破壞。項目方可以按需修改PIOP,且可以在不同PCS中進行選擇。

由Amber文章里的圖可以看到zk系公鏈項目采用KZG方案的最多,有PloygonHermez,Scoll,Zksync2.0,Aztec,Aleo,Manta,以太坊基金會支持的PSE也采用的KZG方案。而Starknet,Risc0,PolygonMiden采用的是FRI方案,PloygonZkvm(Hermez)則是FRI與KZG的結合。
值得一提是,一些新的零知識證明系統支持多項式承諾方案的切換,KZG未來也可以切換成其他多項式承諾方案。
總的來說,多項式承諾正在重塑整個區塊鏈的架構,不論是在鏈的數據結構優化上,模塊化區塊鏈的數據可用性上,還是零知識證明系統上都將大有作為。其他地方是否還存在應用場景也是非常值得探索與跟進的。
Tags:ERKETRBLOTREEBerserk FinanceMetropolyVRBLOCKS幣trees幣今天價格圖
不要再花時間去尋找新的空投了。本文整理了一個線程列表,解釋了如何獲得幾乎所有項目空投的資格。這30個項目可能會在不久的將來空投代幣.
1900/1/1 0:00:00在閱讀本文之前,請確保你對MEV有一定的了解。關于礦工可提取價值以及搜索者和區塊生產者之間市場結構的入門知識,請參見TokenizingMEV這篇文章.
1900/1/1 0:00:00多鏈路由協議pNetwork的異常增發pGALA事件風波還未結束,火幣因為將部分被認定為是套利“羊毛黨”用戶的GALA改為pGALA而引起社區的爭議,雙方直接硬碰硬表示將“對簿公堂”.
1900/1/1 0:00:00幣安人,?鑒于過去幾天發生的事件。我想重申幾點。?一,我們沒有總體規劃這個或與之相關的任何事情。不到24小時前,SBF打電話給我。在此之前,我對FTX的內部情況知之甚少.
1900/1/1 0:00:00著名創投機構a16z曾舉辦了「加密創業學校」的在線視頻課程,目的是幫助創業者快速學習加密技術基礎知識,了解建立Web3公司需要注意的事項。本次課程是開學第一課.
1900/1/1 0:00:00游戲機制、概念、類型和游戲經濟模型已經被炒作了幾十年。Destiny、Persona5和DeadSpace等游戲除了擁有出色的游戲設計外,游戲元素也同樣受到稱贊.
1900/1/1 0:00:00